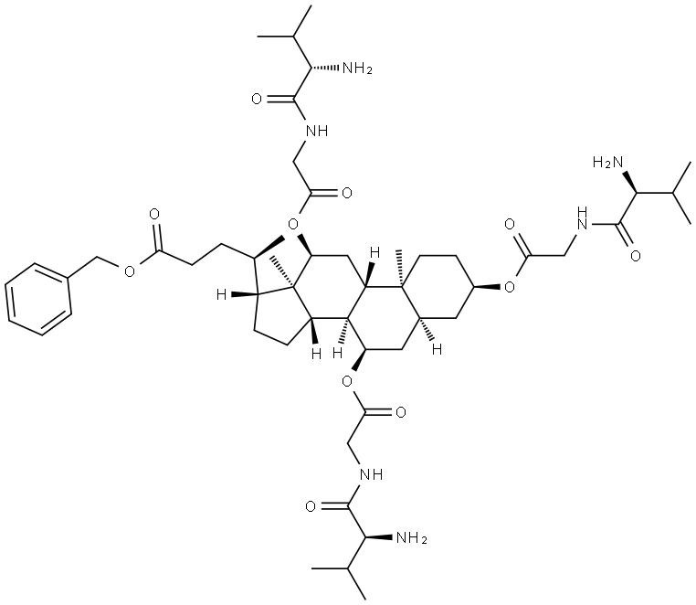
(3R,5S,7R,8R,9S,10S,12S,13R,14S,17R)-17-((R)-5-(benzyloxy)-5-oxopentan-2-yl)-10,13-dimethylhexadecahydro-1H-cyclopenta[a]phenanthrene-3,7,12-triyl tris(2-((S)-2-amino-3-methylbutanamido)acetate)

(3R,5S,7R,8R,9S,10S,12S,13R,14S,17R)-17-((R)-5-(benzyloxy)-5-oxopentan-2-yl)-10,13-dimethylhexadecahydro-1H-cyclopenta[a]phenanthrene-3,7,12-triyl tris(2-((S)-2-amino-3-methylbutanamido)acetate) Struktur
2292123-03-4
CAS-Nr.
2292123-03-4
Englisch Name:
(3R,5S,7R,8R,9S,10S,12S,13R,14S,17R)-17-((R)-5-(benzyloxy)-5-oxopentan-2-yl)-10,13-dimethylhexadecahydro-1H-cyclopenta[a]phenanthrene-3,7,12-triyl tris(2-((S)-2-amino-3-methylbutanamido)acetate)
Synonyma:
(3R,5S,7R,8R,9S,10S,12S,13R,14S,17R)-17-((R)-5-(benzyloxy)-5-oxopentan-2-yl)-10,13-dimethylhexadecahydro-1H-cyclopenta[a]phenanthrene-3,7,12-triyl tris(2-((S)-2-amino-3-methylbutanamido)acetate)
CBNumber:
CB88365435
Summenformel:
C52H82N6O11
Molgewicht:
967.24
MOL-Datei:
2292123-03-4.mol

(3R,5S,7R,8R,9S,10S,12S,13R,14S,17R)-17-((R)-5-(benzyloxy)-5-oxopentan-2-yl)-10,13-dimethylhexadecahydro-1H-cyclopenta[a]phenanthrene-3,7,12-triyl tris(2-((S)-2-amino-3-methylbutanamido)acetate) Eigenschaften

Siedepunkt:
986.1±65.0 °C(Predicted)
Dichte
1.20±0.1 g/cm3(Predicted)
storage temp. 
Store at -20°C
Löslichkeit
DMF: 5mg/mL; DMSO: 10mg/mL; Ethanol: 10mg/mL; PBS (pH 7.2): 3mg/mL
Aggregatzustand
A crystalline solid
pka
13.48±0.46(Predicted)

Sicherheit

(3R,5S,7R,8R,9S,10S,12S,13R,14S,17R)-17-((R)-5-(benzyloxy)-5-oxopentan-2-yl)-10,13-dimethylhexadecahydro-1H-cyclopenta[a]phenanthrene-3,7,12-triyl tris(2-((S)-2-amino-3-methylbutanamido)acetate) Chemische Eigenschaften,Einsatz,Produktion Methoden

Beschreibung

CAP 3 is a cholic acid-peptide conjugate (CAP) with antibacterial activity. It is active against the Gram-negative bacteria E. coli, K. pneumoniae, and A. baumanii (MIC99s = 8, 16, and 16 μM, respectively). CAP 3 increases the fluidity of model Gram-negative bacterial membranes and binds to LPS in vitro. It reduces the biomass and number of colony-forming units in E. coli biofilms in a concentration-dependent manner. CAP 3 inhibits E. coli biofilm formation on catheters implanted in mice infected with E. coli at the incision site when applied as a coating on the catheters. CAP 3 (40 mg/kg) also reduces bacterial load in E. coli-infected wounds in mice. It is cytotoxic to A459 cells (IC50 = 56.4 μM) and has hemolytic activity against human red blood cells with a 50% lysis (HC50) value of 48 μM.

(3R,5S,7R,8R,9S,10S,12S,13R,14S,17R)-17-((R)-5-(benzyloxy)-5-oxopentan-2-yl)-10,13-dimethylhexadecahydro-1H-cyclopenta[a]phenanthrene-3,7,12-triyl tris(2-((S)-2-amino-3-methylbutanamido)acetate) Upstream-Materialien And Downstream Produkte

Upstream-Materialien

Downstream Produkte


(3R,5S,7R,8R,9S,10S,12S,13R,14S,17R)-17-((R)-5-(benzyloxy)-5-oxopentan-2-yl)-10,13-dimethylhexadecahydro-1H-cyclopenta[a]phenanthrene-3,7,12-triyl tris(2-((S)-2-amino-3-methylbutanamido)acetate) Anbieter Lieferant Produzent Hersteller Vertrieb Händler.

Global( 5)Lieferanten
Firmenname Telefon E-Mail Land Produktkatalog Edge Rate
ChemeGen(Shanghai) Biotechnology Co.,Ltd. 18818260767
sales@chemegen.com China 11218 58
Shanghai Yifei Biotechnology Co. , Ltd. 021-65675885 18964387627
customer_service@efebio.com China 11973 58
Cayman Chemical Company 800-364-9897
sales@caymanchem.com China 6838 58
Biosynth Biological Technology (Suzhou) Co Ltd 51288865780
sales@biosynth.com China 6051 58

  • (3R,5S,7R,8R,9S,10S,12S,13R,14S,17R)-17-((R)-5-(benzyloxy)-5-oxopentan-2-yl)-10,13-dimethylhexadecahydro-1H-cyclopenta[a]phenanthrene-3,7,12-triyl tris(2-((S)-2-amino-3-methylbutanamido)acetate)
  • 2292123-03-4
  • C52H82N6O11
Copyright 2019 © ChemicalBook. All rights reserved