糖尿病是一种糖、蛋白和脂肪代谢障碍性疾病,是由遗传因素与环境丙索共同作用引起的一种悛性病,也是人类的常见病和多发病,已经成为继心血管、肿瘤之后的第三大严重威胁人类健康的非传染病。甲苯磺丁脲(D-860, Tolbutamide),作为第一代的磺酰脲类药物,在人体内能刺激胰岛分泌胰岛素而降低血糖,用于轻度及中度非胰岛素依赖型(II型)糖尿病,临床疗效明显,在标准治疗II型糖尿病的4类药物(磺酰脲类、双胍类、糖甘酶抑制剂和胧岛祟)中占有重要的位置。

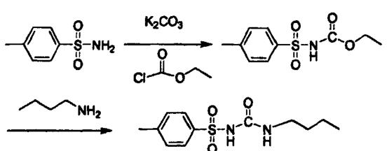
甲苯磺丁脲的合成已经有以下方法:1)以硫酸为催化剂,在非极性溶剂(甲苯)中,丁胺和对甲基苯磺酰脲或双-对甲基苯磺酰脲反应得到产物;2)以氯化亚铜为催化剂,在DMF中,对甲基苯磺酰胺和正丁基异氰酸酯反应生成产物;3)对甲基苯磺酰胺与碳酸二苯酯、对二甲氨基吡啶反应生成磺酰脲中间体,然后与丁胺反应生成产物。本文将对甲基苯磺酰胺与氯甲酸乙酯进行N-甲酰化反应,生成对甲苯磺酰胺甲酸乙酯,然后与正丁胺进行胺解反应制得甲苯磺丁脲,该方法原料来源广泛、操作简便、收率高。
合成方法
1、对甲苯磺酰胺甲酸乙酯的合成
将对甲苯磺酰胺(17.1g,0.1mol),K2CO3(31.4g0.165mol)、乙醇(200mL)加入反应瓶中,加热回流1h,然后在1.5h内缓慢滴加氯甲酸乙酯(19.5g,0.18mol),加毕,继续回流3h。冷却,减压除去溶剂,加水100ml,溶解产物,用1mol/L盐酸调节pH值至8,滤去不溶物,滤液继续用1mol/L盐酸调节pH至4,析出岗休,抽滤,减压干燥,得到白色固体22.6g,收率93.2%,m.p.=83~84℃。
2、甲苯磺丁脲的合成
将对甲苯磺酰胺甲酸乙酯(20g,0.082mol)和100mL甲苯投入反应瓶中,加热使之溶解,然后缓慢滴加正丁胺(6.6g,0.09mol)与40mL甲苯的混合溶液(约1h),加毕,继续加热回流3h,冷却,减压蒸去溶剂,得到淡黄色固体,乙酸乙酯重结晶,得到甲苯磺丁脲白色固体11.6g,收率65.3%,mp.128~130℃[1]。

参考文献
[1]金永君,黄文海,胡纯琦,等. 甲苯磺丁脲的新合成方法[J]. 浙江化工,2008,39(12):7-8. DOI:10.3969/j.issn.1006-4184.2008.12.004.