简述
3,4-二甲氧基苯丙酮又名藜芦酮,分子式为C11H14O3,分子量为194.23,是一种性状为无色至淡黄色透明液体的化合物。该物质不仅是一种合成香料,也是一种重要的医药中间体,尤其是神经类药物的主要原料,用途广泛[1]。

制备工艺
方法一
以藜芦醛为主体原料,先经2-氯丙酸甲酯在甲醇钠的催化下羧合,然后在碱性条件下进行水解,盐酸脱羧,最后进行蒸馏即可得到3,4-二甲氧基苯丙酮 。产品质量稳定,收率高,产品摩尔收率98%,经高效气相检测主含量98.5%以上,产品室温下长期放置也不变色。另外,反应大量使用的甲苯易回收,环保不污染环境[1]。
方法二
以呋喃酚的副产物4-(2-甲基烯丙基)-1,2-苯二酚为原料,经醚化,臭氧化可得附加值较高的精细化工产品3,4-二甲氧基苯丙酮。优化条件下,3,4-二甲氧基苯丙酮的总收率可达72.8%[2]。
应用
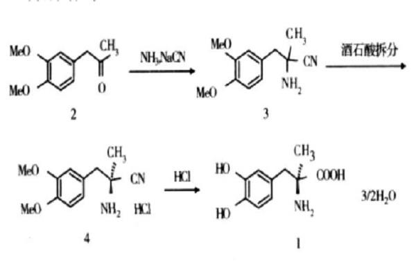
以3,4-二甲氧基苯丙酮为原料,经Strecker 反应得到(3',4'-二甲氧基苯基)-2-氨基-2-甲基丙腈,然后用L-酒石酸拆分得到L-(3',4'-二甲氧基苯基)-2-氨基-2-甲基丙腈盐酸盐,再经水解、脱甲基可得L-甲基多巴,收率为50.4%[3]。

有关研究
原苏木素A是传统中药苏木中提取的一种有效成分,在目前的研究中发现其具有抗心脏移植排斥反应的作用及抗癌活性,其全合成的文献目前还未有报导。研究人员对原苏木素A的合成进行了初步探索,制备了十多个新的联苯化合物并进行了生物活性筛选。在合成中,先以邻甲氧基苯酚、间苯二酚和3,4-二甲氧基苯丙酮为原料,合成了2,3',4,4-四甲氧基联苯、2,3',4,4-四乙酸酯基联苯、1-(2',4,4',5-四甲氧基联苯-2)丙酮、1-(2',4'-二羟基-4,5-二甲氧基联苯-2)-丙酮、2-(2',4,4',5-四甲氧基联苯基-2)-乙酸甲酯、2-(2',4,4',5-四甲氧基联苯基-2)-乙酸六个联苯衍生物;然后以3,4-二甲氧基苯乙酸为原料,经三条不同的路线对八元环的构建进行了尝试,制备了1-(2',4,4',5-四甲氧基联苯-2)-3-溴-丙酮、2-(2-苄氧基-4,4',5-三甲氧基联苯-2)-乙酸、2-(2'-羟基)-4,4',5-三甲氧基联苯-2)-乙酸甲酯、1(2-苄氧基-4,4',5-三甲氧基联苯)-3-溴-丙酮和2-[4,4',5'-三甲氧基-2'-(2-甲氧基-2-氧代乙基)-联苯-2-氧]-乙酸乙酯五个中间体。
初步的生物活性试验发现,以3,4-二甲氧基苯丙酮为主要原料制备的化合物1-(2',4,4',5-四甲氧基联苯-2)丙酮具有抗心脏移植排斥反应活性,化合物2,3',4,4'-四甲氧基联苯有抗癌活性。说明开环后的联苯化合物仍具有生物活性,且2位的基团可能是决定活性所必需的[4]。
参考文献
[1]李兰花,裘月南,沈林华,等.一种藜芦酮的制备工艺.CN201110337180.9.
[2]姚灿,臧阳陵,罗先福,等.3,4-二甲氧基苯丙酮的合成研究[J].精细化工中间体, 2018, 48(1):4.DOI:CNKI:SUN:HNHG.0.2018-01-011.
[3]吴范宏,肖繁花,杨雪艳,等.L-甲基多巴的合成工艺改进[J].广州化工, 2008.DOI:JournalArticle/5aebffe0c095d710d4f96fdd.
[4]杜继航.原苏木素A及其中间体合成的初步研究[D].黑龙江大学.DOI:CNKI:CDMD:2.2010.148152.