概述
2-溴-4'-硝基苯乙酮(C₈H₆BrNO₃)是一种含溴及硝基的有机化合物,分子量为244.04,别称α-溴代对硝基苯乙酮,英文名称为2-Bromo-4'-nitroacetophenone。常温下,2-溴-4'-硝基苯乙酮可以稳定存在,性状多为黄色至橙色结晶粉末,熔点94-99°C。

制备方法
2-溴-4'-硝基苯乙酮为生产氯霉素及合霉素的主要中间体,最早在1889年由Engler及 Zielk二人首先从对硝基苯乙酮经溴代作用制得。基于该工艺,研究人员优化得到两种制备方法,整体流程如下图:

方法一
α-苯基-β-溴代乙醇(Ⅱ)经硝化生成α-对-硝基苯基-β-溴代乙醇硝酸酯(Ⅲ),将此硝酸酯直接水解即生成相应的醇,但以先转化成α-对-硝基苯基-β-溴代乙醇乙酸酯(Ⅳ),然后醇解成α-对硝基苯基-β-溴代乙醇(Ⅴ),收率较高,后者可用铬酸氧化成2-溴-4'-硝基苯乙酮(Ⅳ)。该制备方法由最初原料苯乙烯(Ⅰ)计算全程收率分別为37.2%~40.8%[1]。
方法二
β-溴代乙苯(Ⅶ)依次经硝化及氧化作用也可生成2-溴-4'-硝基苯乙酮,全程收率50.8%[1]。
应用
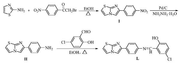
2-溴-4'-硝基苯乙酮可作为原料合成一种具有AIE性质的荧光探针,具体制备方法为:以2‑氨基噻唑为起始原料,通过与2-溴-4'-硝基苯乙酮进行缩合关环、还原反应得到中间体6‑(4‑氨基苯基)咪唑并[2,1‑b]噻唑,然后和5‑氯水杨醛发生亲核加成得到N‑4‑(咪唑骈[2,1‑b]噻唑)‑苯基‑2‑羟基‑5‑氯苯亚胺,即为具有AIE性质的荧光探针。该具有AIE性质的荧光探针对Al3+有良好的选择性识别并具有较好的识别灵敏性和抗干扰性,Job's曲线显示其络合比为1:1[2]。

药物合成领域,以对硝基苯乙酮为原料,经溴代反应得到中间体2-溴-4'-硝基苯乙酮;以对苯醌和硫脲为起始原料,经缩合,环合,取代和还原得到重要中间体7-(2-吗啉-4-基-乙氧基)-2-(4-氨基苯基)咪唑并[2,1-b]苯并噻唑;以氰基频那酮为起始原料,经缩合,取代反应得到重要中间体5-叔丁基异口恶唑-3-氨基甲酸苯酯;中间体经取代反应即可得到RIPK1依赖的细胞程序性坏死抑制剂奎扎替尼,合成总收率为52.5%(以对苯醌计),纯度为99.4%(HPLC法)。新工艺路线所用原料相对廉价易得,操作简便,收率较高,可为工业化生产提供参考[3]。
有关研究
为了改进测定人血清中丙戊酸镁浓度的高效液相色谱法,研究人员以经1.0 mol/L硫酸沉淀的血清样品为实验材料,以环己甲酸为内标,以2-溴-4'-硝基苯乙酮为衍生试剂,采用高效液相色谱法测定。色谱柱为Hypersil C(18)柱(200 mm×4.6 mm,10μm),流动相为甲醇-水(81:19),检测波长为265 nm,流速为1.0 mL/min,柱温为25℃,对检测结果进行统计分析。结果,内标和丙戊酸镁衍生物的保留时间分别为4.1 min和5.4 min,质量浓度线性范围为11.0~200.0μg/mL(r=0.9993),平均回收率为98.2%~102.5%,批内,批间精密度RSD2.3%,稳定性试验RSD3.9%。也就是说,改进后的方法简便,快速,准确,适用于临床丙戊酸镁血药浓度监测,室内质控评价保证了血药浓度监测质量[4]。
参考文献
[1]周邦基.氯霉素,Ⅱ.α-溴代-对-硝基苯乙酮的合成[J].药学学报, 1960(1).
[2]刘杰,于庆庆,李子康,等.一种具有AIE性质的荧光探针及其制备方法和其在Al3+识别中的应用:202311395506[P].
[3]吴亚闯,郭壮,付宝林,等.FLT3激酶抑制剂奎扎替尼的合成工艺改进[J].中国药物化学杂志, 2016, 26(5):5.DOI:CNKI:SUN:ZGYH.0.2016-05-009.
[4]杨颖达,何秋月,李德秀,等.高效液相色谱法测定丙戊酸镁血药浓度的方法改进及质控评价[J].中国药业, 2017, 26(23):4.DOI:10.3969/j.issn.1006-4931.2017.23.003.