维生素A是一种脂溶性维生素,是人体必需的营养素之一。但维生素A不稳定,且对皮肤有刺激性。在动物z来源的食品中,维生素A的主要存在形式是维生素A酯,最常见的是维生素 A 棕榈酸酯,它们在小肠内被转化成维生素A。维生素A棕榈酸酯在医药、食品、化妆品等行业有着广泛的应用,属于维生素A系列产品中的高端品种,是市场需求增长较快的一个分支产品。
制备进展[1]
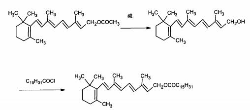
目前工业上维生素 A 棕榈酸酯的合成均是以维生素 A 醋酸酯为起始原料的化学合成法,合成方法主要有两种:酰化法和酯交换法。
(1)酰化法
酰化法是以维生素 A 醋酸酯为起始原料,首先在碱性条件下皂化得到维生素A醇,再与棕榈酰氡酰化反应得到维生素 A 棕榈酸酯。

由于酰化法两步反应完全,收率高,后处理简单,是目前工业生产维生素 A 棕榈酸酯的主要工艺。但该反应最大的缺陷是反应中释放出高腐蚀性氯化氢气体,必须用有机碱捕集,避免在酸性条件下维生素A的化学结构受到破坏。工业生产必须配套冗长的有机碱回收工艺及其装置。
(2)酯交换法
酯交换法是维生素 A 醋酸酯和棕榈酸甲酯在催化剂存在下进行酯交换反应得到维生素 A 棕榈酸酯。

酯交换法的最大优点是工艺简短,避免使用高活泼性棕榈酰氯,无须严格防水及捕集释放出的氯化氢。由于酯交换反应为可逆反应,存在反应不彻底的问题,必然涉及到残存的维生素 A 醋酸酯、过量的棕榈酸甲酯和维生素 A 棕榈酸酯分离的问题。
(3)脂肪酶催化合成法
近十多年,维生素 A 棕榈酸酯的合成研究热点逐渐转移至脂肪酶催化合成研究方面。采用化学合成法,反应条件相对苛刻,使用酸、碱等易导致维生素A破坏的原料,且中间体维生素A醇极其不稳定,因此造成最终维生素 A 棕榈酸酯质量不佳。而以脂肪酶作为催化剂合成维生素 A 棕榈酸酯,工艺简单,反应条件温和,反应专一性强,副反应少,产品色泽浅、稳定性好的优势,但由于通常酶催化反应时间长,未能百分百转化,需涉及反应产物的分离提纯,且脂肪酶成本高,目前尚未工业化应用。

参考文献
[1] 刘园. 酶法制备维生素A棕榈酸酯的研究[D]. 福建:集美大学,2011. DOI:10.7666/d.d161653.