介绍
吡虫隆,别名1‑(4‑氯‑3‑(3‑氯‑5‑三氟甲基‑2‑吡啶氧基)苯基)‑3‑(2,6‑二氟苯甲酰基)脲,分子式为C20H10Cl2F5N3O3。吡虫隆为新一代高效的苯甲酰脲类昆虫生长调节剂,作为兽药主要用于动物体外寄生虫的驱杀,为广谱抗寄生虫药,具有很强的杀虫和杀卵活性。

图一 吡虫隆
合成
现有技术中的吡虫隆的合成方法,用的原料2‑氯‑5‑氨基苯酚由于受到安全环保的影响,生产厂家减少,市场供应出现不足,严重影响到吡虫隆的生产。
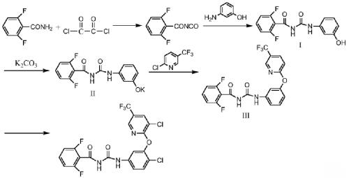
第一步:中间体Ⅰ的合成
反应瓶中投入甲苯,2 ,6‑二氟苯甲酰胺,控温滴加草酰氯,滴加完后,保温40~ 50℃反应0 .5~1 .5小时,然后升温至回流,保温反应5~6小时,降温至室温,备用。
第二步:中间体Ⅲ的合成
1L四口反应瓶中投入甲苯500ml,2 ,6‑二氟苯甲酰胺200g(1 .27mol),室温滴加草酰氯165g(1 .30mol),滴加完后,升温至40~50℃反应1小时,然后继续升温至110℃保温反应8小时,保温结束降温至10℃,备用。向2L四口反应瓶中投入400ml甲苯、139g 3‑氨基苯酚(1 .27mol),控制温度15~35 ℃滴加上步得到的储备液,滴加完毕继续保温反应24小时,然后加入177g碳酸钾,继续搅拌 1小时,再向其中加入230g 2‑氯5‑三氟甲基吡啶,继续保温回流反应8小时,反应完毕,趁热过滤,滤液降温至10~20℃,搅拌2小时,过滤,固体干燥后得511g中间体Ⅲ,纯度98.6%,收率92%。
第三步:吡虫隆的合成
1L四口烧瓶中加入400g四氢呋喃、100g中间体Ⅲ,控温60~80℃分五次加入61g NCS,加毕保温反应5小时,趁热过滤,滤液降温至室温搅拌1小时,过滤,固体用四氢呋喃漂洗,滤干,80℃干燥后得到吡虫隆106.4g,纯度99.5%,收率92%[2]。

图二 吡虫隆的合成
参考文献
[1]江苏天和制药有限公司.一种吡虫隆的制备方法:202211575822.3[P].2024-07-02.