| | thanatin|抗菌肽THANATIN 基本信息 更多信息 |
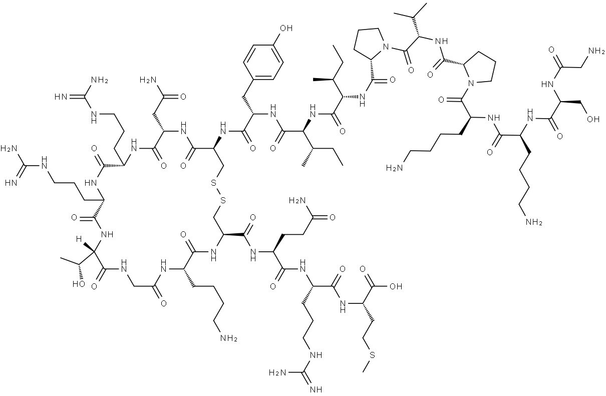
| 中文名称: | 抗菌肽THANATIN | | 中文同义词: | 抗菌肽THANATIN | | 英文名称: | thanatin | | 英文同义词: | thanatin;L-Methionine, glycyl-L-seryl-L-lysyl-L-lysyl-L-prolyl-L-valyl-L-prolyl-L-isoleucyl-L-isoleucyl-L-tyrosyl-L-cysteinyl-L-asparaginyl-L-arginyl-L-arginyl-L-threonylglycyl-L-lysyl-L-cysteinyl-L-glutaminyl-L-arginyl-, cyclic (11→18)-disulfide | | CAS号: | 214542-43-5 | | 分子式: | C103H177N35O27S3 | | 分子量: | 2433.93 | | EINECS号: | |  |
|
|
|
建议您优先选择企业会员,我们对企业会员产品有严格审核。 |
|
1
|