| | 3-Hydroxyoctanoyl-CoA| 基本信息 更多信息 |
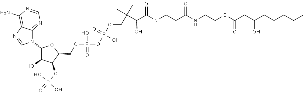
| 中文名称: | | | 中文同义词: | | | 英文名称: | 3-Hydroxyoctanoyl-CoA | | 英文同义词: | Coenzyme A, S-(3-hydroxyoctanoate) | | CAS号: | 40759-94-2 | | 分子式: | C29H50N7O18P3S | | 分子量: | 909.73 | | EINECS号: | |  |
|
| 按国家浏览3-Hydroxyoctanoyl-CoA国外供应商 |
中国供应商 |
|
3-Hydroxyoctanoyl-CoA 推荐供应商 |
|
|
建议您优先选择企业会员,我们对企业会员产品有严格审核。 |
|
1
|