Welcome to chemicalbook!
+1 (818) 612-2111
RFQ
Try our best to find the right business for you.
Do not miss inquiry messages Please log in to view all inquiry messages.

Welcome back!

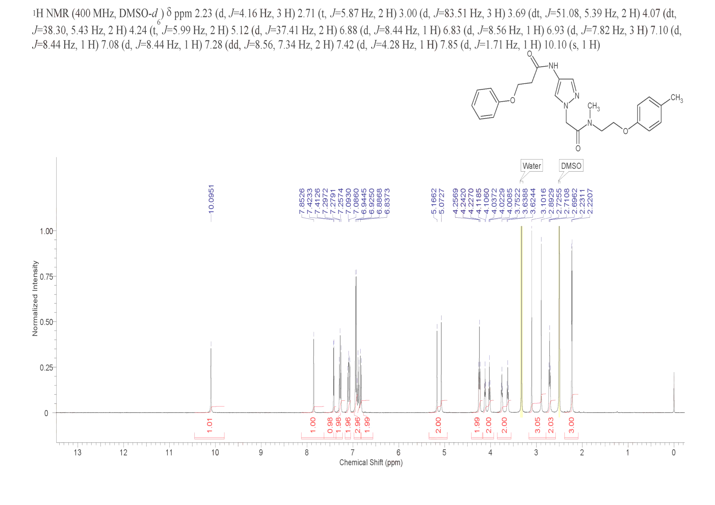
Back ChemicalBook Home>CAS DataBase List>1185329-96-7More Spectrum> 1H-Pyrazole-1-acetamide, N-methyl-N-[2-(4-methylphenoxy)ethyl]-4-[(1-oxo-3-phenoxypropyl)amino]-(1185329-96-7) 1H NMR

1185329-96-7

1H-Pyrazole-1-acetamide, N-methyl-N-[2-(4-methylphenoxy)ethyl]-4-[(1-oxo-3-phenoxypropyl)amino]-(1185329-96-7) 1H NMR

Molecular FormulaC24H28N4O4

Molecular Weight436.5

1H-Pyrazole-1-acetamide, N-methyl-N-[2-(4-methylphenoxy)ethyl]-4-[(1-oxo-3-phenoxypropyl)amino]-(1185329-96-7) 1H NMR Atlas of Related Products

×