Welcome to chemicalbook!
+1 (818) 612-2111
RFQ
Try our best to find the right business for you.
Do not miss inquiry messages Please log in to view all inquiry messages.

Welcome back!

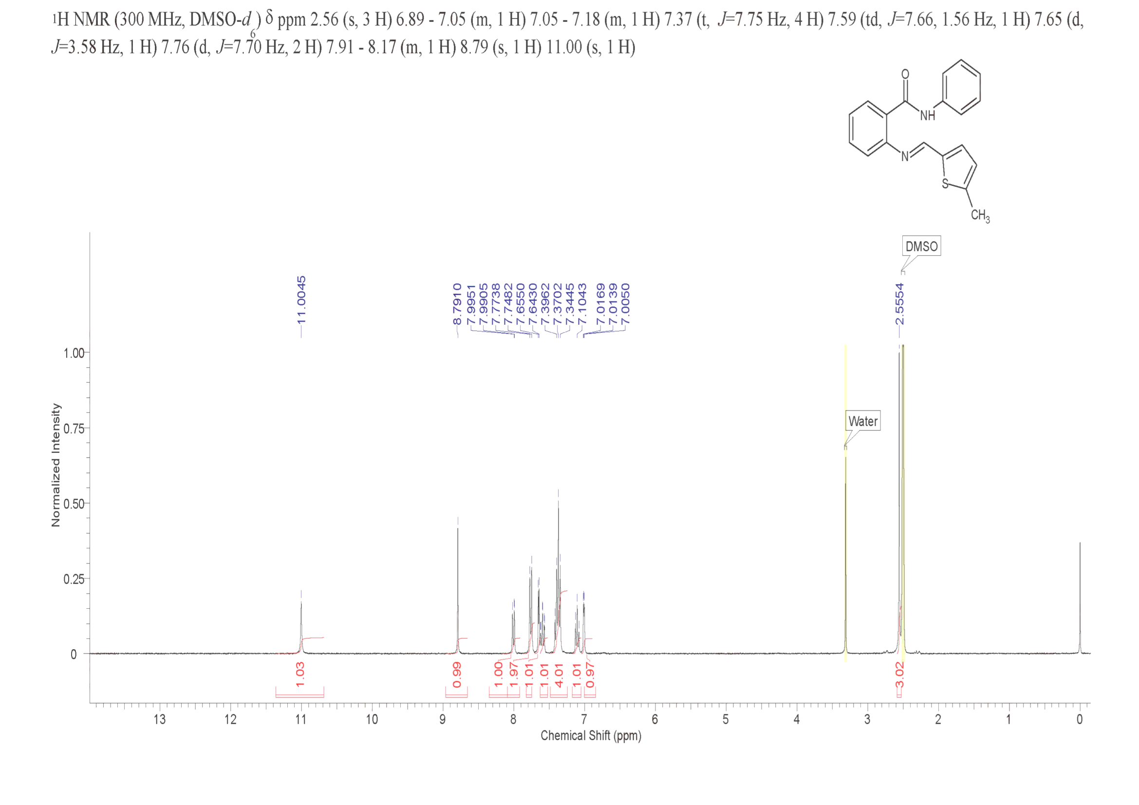
Back ChemicalBook Home>CAS DataBase List>1201652-50-7More Spectrum> 2-{[(5-methyl-2-thienyl)methylene]amino}-N-phenylbenzamide(1201652-50-7) 1H NMR

1201652-50-7

2-{[(5-methyl-2-thienyl)methylene]amino}-N-phenylbenzamide(1201652-50-7) 1H NMR

Molecular FormulaC19H16N2OS

Molecular Weight320.41

2-{[(5-methyl-2-thienyl)methylene]amino}-N-phenylbenzamide(1201652-50-7) 1H NMR Atlas of Related Products

×