Welcome to chemicalbook!
+1 (818) 612-2111
RFQ
Try our best to find the right business for you.
Do not miss inquiry messages Please log in to view all inquiry messages.

Welcome back!

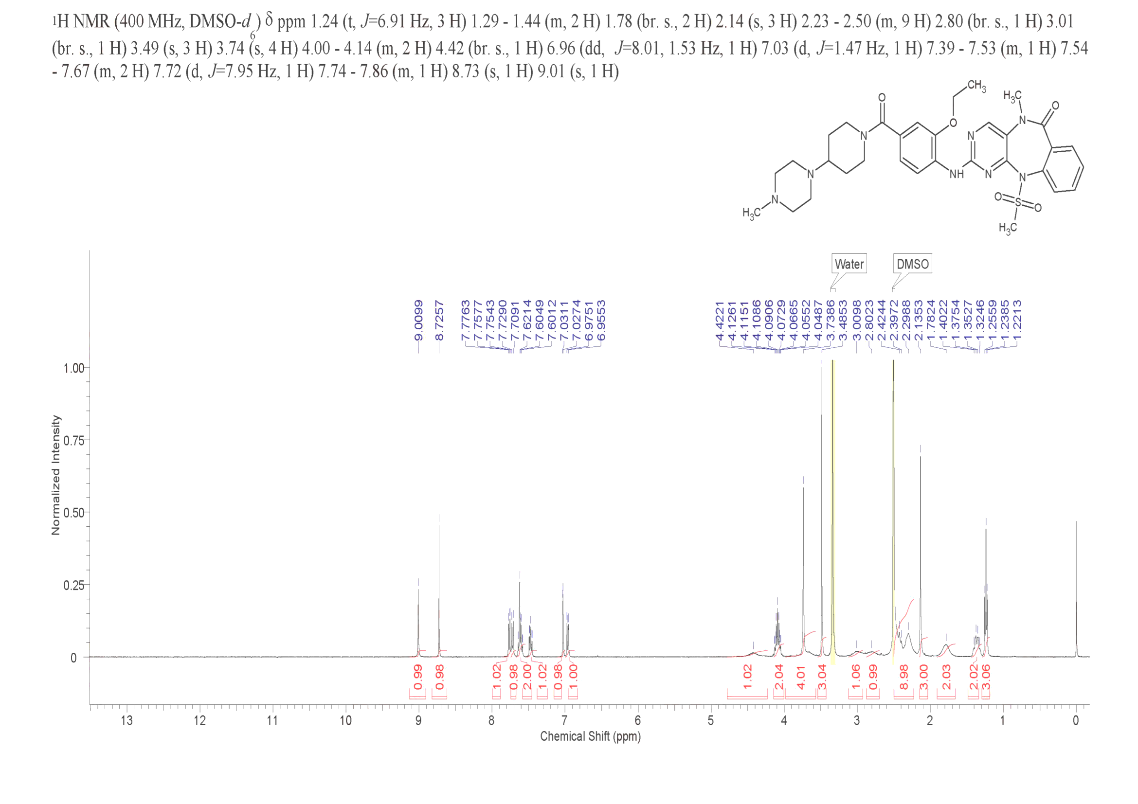
Back ChemicalBook Home>CAS DataBase List>2035509-96-5More Spectrum> AX-15836(2035509-96-5) 1H NMR

2035509-96-5

AX-15836(2035509-96-5) 1H NMR

Product NameAX-15836

CAS2035509-96-5

Molecular FormulaC32H40N8O5S

Molecular Weight648.78

AX-15836(2035509-96-5) 1H NMR Atlas of Related Products

×