Welcome to chemicalbook!
+1 (818) 612-2111
RFQ
Try our best to find the right business for you.
Do not miss inquiry messages Please log in to view all inquiry messages.

Welcome back!

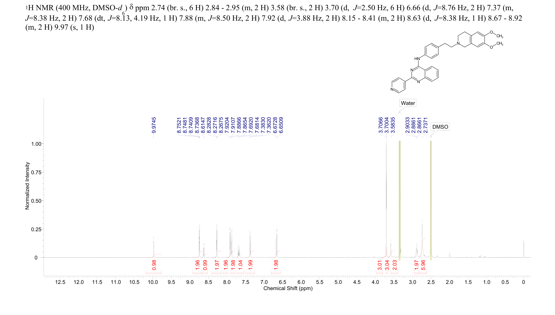
Back ChemicalBook Home>CAS DataBase List>2050747-49-2More Spectrum> P-gp inhibitor 1(2050747-49-2) 1H NMR

2050747-49-2

P-gp inhibitor 1(2050747-49-2) 1H NMR

Molecular FormulaC32H31N5O2

Molecular Weight517.62

P-gp inhibitor 1(2050747-49-2) 1H NMR Atlas of Related Products

×