Welcome to chemicalbook!
+1 (818) 612-2111
RFQ
Try our best to find the right business for you.
Do not miss inquiry messages Please log in to view all inquiry messages.

Welcome back!

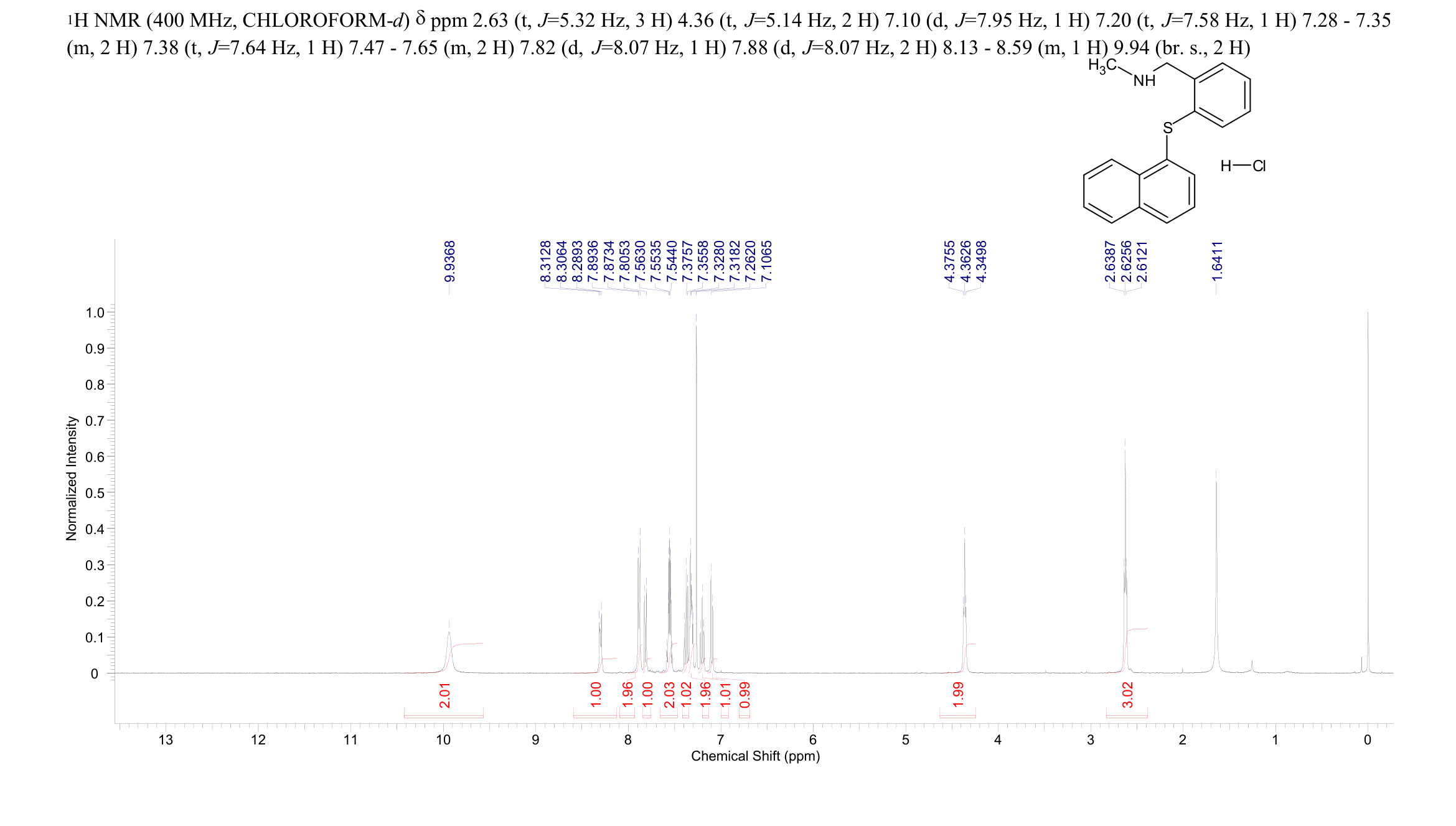
Back ChemicalBook Home>CAS DataBase List>2070014-98-9More Spectrum> IFN alpha-IFNAR-IN-1 (hydrochloride)(2070014-98-9) 1H NMR

2070014-98-9

IFN alpha-IFNAR-IN-1 (hydrochloride)(2070014-98-9) 1H NMR

Molecular FormulaC18H18ClNS

Molecular Weight315.86

IFN alpha-IFNAR-IN-1 (hydrochloride)(2070014-98-9) 1H NMR Atlas of Related Products

×