Welcome to chemicalbook!
+1 (818) 612-2111
RFQ
Try our best to find the right business for you.
Do not miss inquiry messages Please log in to view all inquiry messages.

Welcome back!

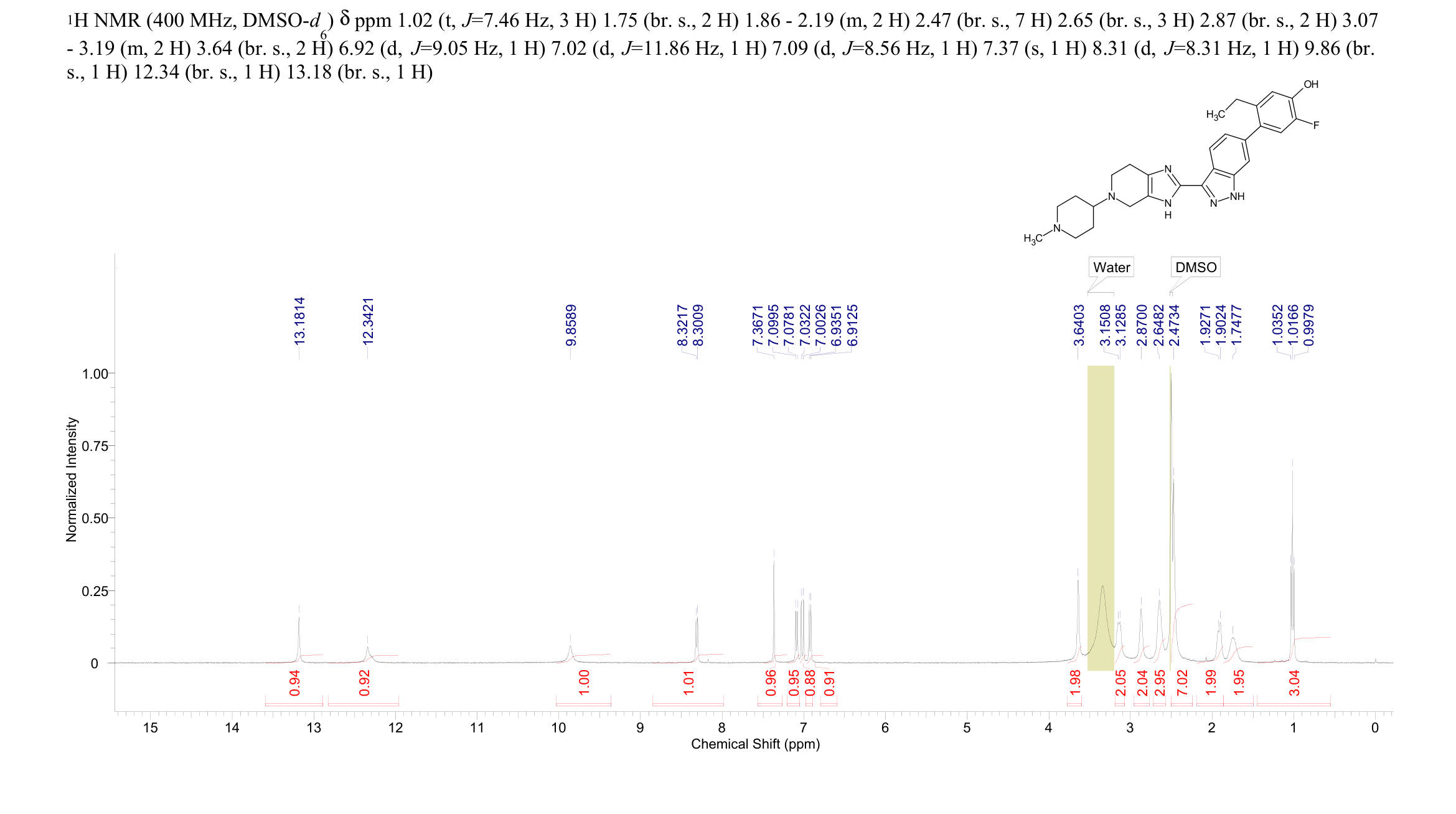
Back ChemicalBook Home>CAS DataBase List>2096999-92-5More Spectrum> JAK-IN-5(2096999-92-5) 1H NMR

2096999-92-5

JAK-IN-5(2096999-92-5) 1H NMR

Product NameJAK-IN-5

CAS2096999-92-5

Molecular FormulaC27H31FN6O

Molecular Weight474.57

JAK-IN-5(2096999-92-5) 1H NMR Atlas of Related Products

×