Welcome to chemicalbook!
+1 (818) 612-2111
RFQ
Try our best to find the right business for you.
Do not miss inquiry messages Please log in to view all inquiry messages.

Welcome back!

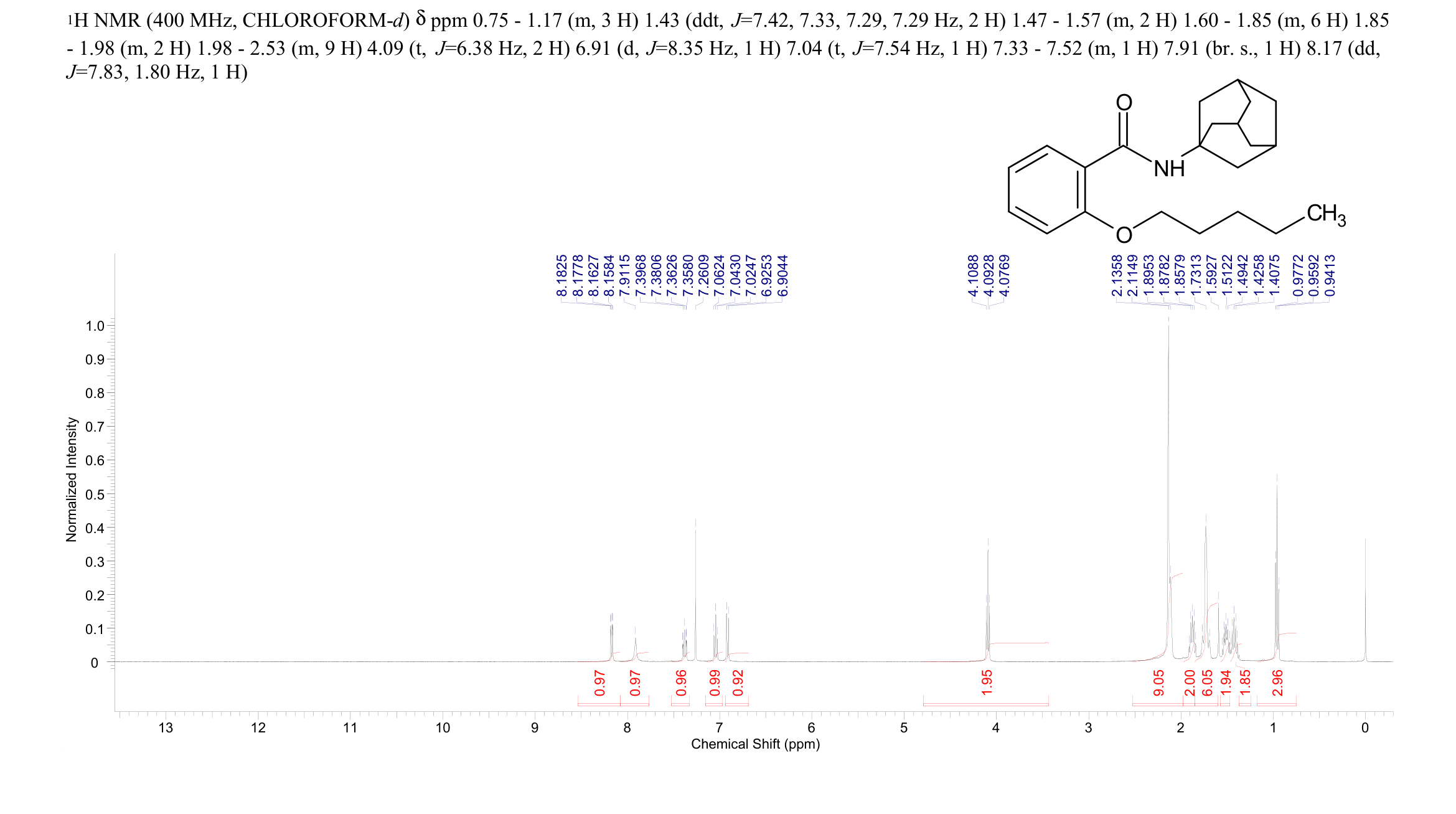
Back ChemicalBook Home>CAS DataBase List>2876918-67-9More Spectrum> Benzamide, 2-(pentyloxy)-N-tricyclo[3.3.1.13,7]dec-1-yl-(2876918-67-9) 1H NMR

2876918-67-9

Benzamide, 2-(pentyloxy)-N-tricyclo[3.3.1.13,7]dec-1-yl-(2876918-67-9) 1H NMR

Molecular FormulaC22H31NO2

Molecular Weight341.49

Benzamide, 2-(pentyloxy)-N-tricyclo[3.3.1.13,7]dec-1-yl-(2876918-67-9) 1H NMR Atlas of Related Products

×