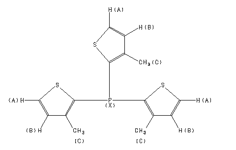
Product NameTris(3-methyl-2-thienyl)phosphine
CAS30537-03-2
Molecular FormulaC15H15PS3
Molecular Weight322.45
InChIInChI=1S/C15H15PS3/c1-10-4-7-17-13(10)16(14-11(2)5-8-18-14)15-12(3)6-9-19-15/h4-9H,1-3H3
InChIKey WIRWQDIKMYQEQH-UHFFFAOYSA-N
SmilesP(C1SC=CC=1C)(C1SC=CC=1C)C1SC=CC=1C

Parameter ppm Hz
D(A) 7.241 D(B) 6.775 D(C) 2.244 J(A,B) 4.88 J(A,C) 0.39 J(A,X) -1.01 J(B,C) -0.40 J(B,X) 2.97 J(C,X) 0.44 JAKOBSEN,H.J & BEGTRUP,M. J.MOL.SPECTROSC. 40, 276 (1971)
Tris(3-methyl-2-thienyl)phosphine(30537-03-2) 1H NMR Atlas of Related Products
HomePage | Member Companies | Advertising | Contact us | Previous WebSite | MSDS | CAS Index | CAS DataBase
Copyright © 2017 ChemicalBook All rights reserved.