Welcome to chemicalbook!
+1 (818) 612-2111
RFQ
Try our best to find the right business for you.
Do not miss inquiry messages Please log in to view all inquiry messages.

Welcome back!

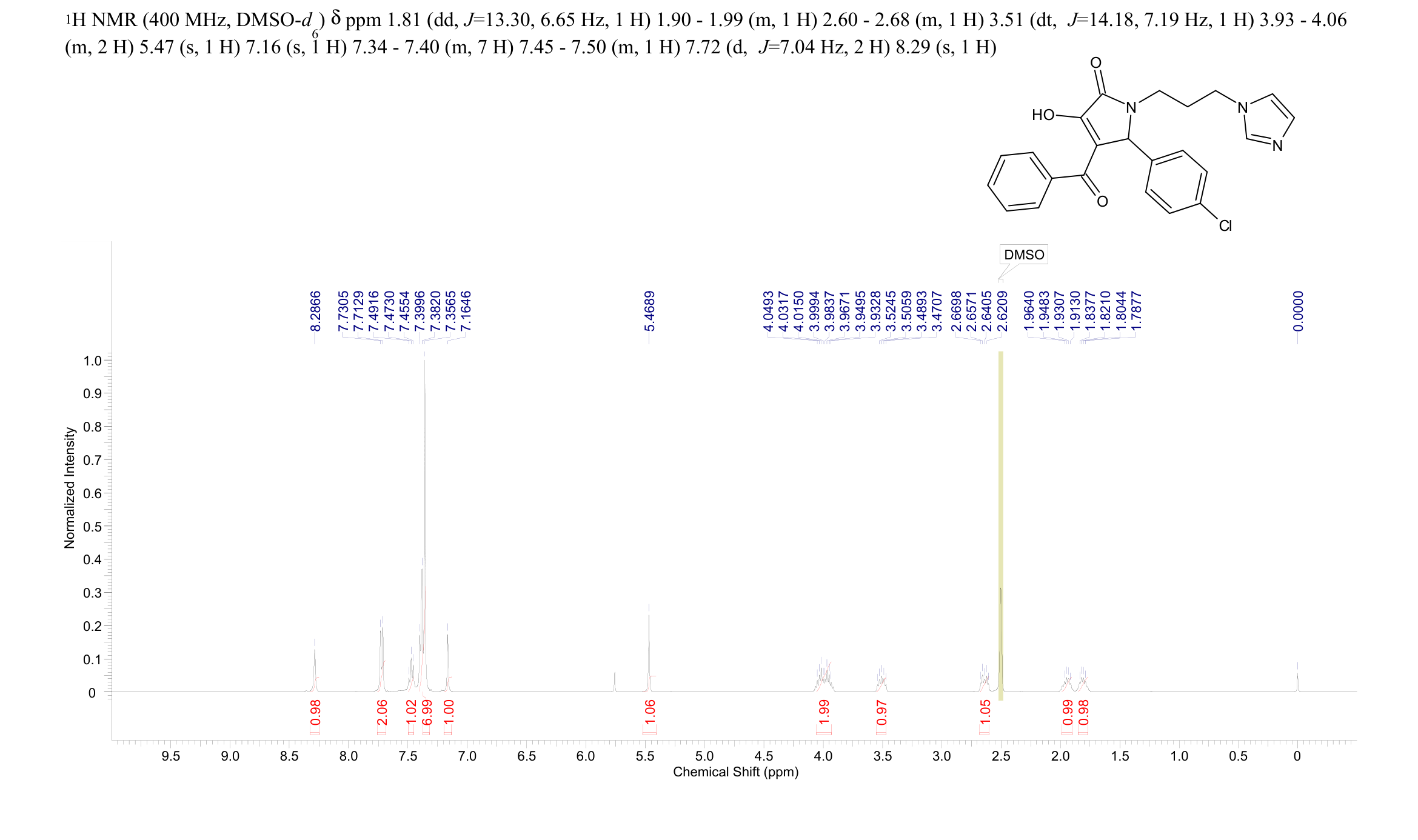
Back ChemicalBook Home>CAS DataBase List>381717-91-5More Spectrum> 1-(3-(1H-imidazol-1-yl)propyl)-4-benzoyl-5-(4-chlorophenyl)-3-hydroxy-1H-pyrrol-2(5H)-one(381717-91-5) 1H NMR

381717-91-5

1-(3-(1H-imidazol-1-yl)propyl)-4-benzoyl-5-(4-chlorophenyl)-3-hydroxy-1H-pyrrol-2(5H)-one(381717-91-5) 1H NMR

Molecular FormulaC23H20ClN3O3

Molecular Weight421.88

1-(3-(1H-imidazol-1-yl)propyl)-4-benzoyl-5-(4-chlorophenyl)-3-hydroxy-1H-pyrrol-2(5H)-one(381717-91-5) 1H NMR Atlas of Related Products

×