Welcome to chemicalbook!
+1 (818) 612-2111
RFQ
Try our best to find the right business for you.
Do not miss inquiry messages Please log in to view all inquiry messages.

Welcome back!

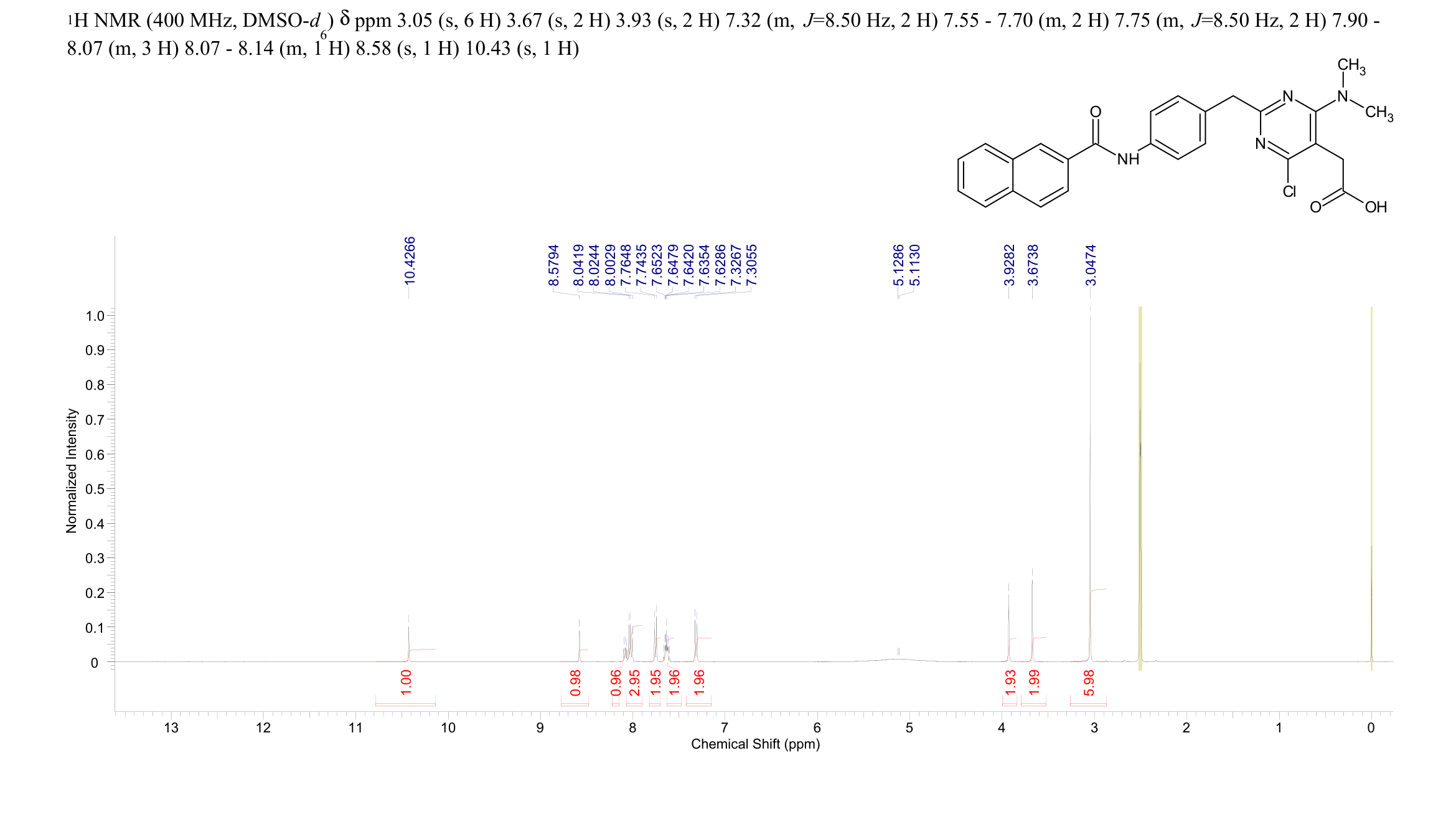
Back ChemicalBook Home>CAS DataBase List>780763-95-3More Spectrum> AP-768(780763-95-3) 1H NMR

780763-95-3

AP-768(780763-95-3) 1H NMR

Product NameAP-768

CAS780763-95-3

Molecular FormulaC26H23ClN4O3

Molecular Weight474.93882

AP-768(780763-95-3) 1H NMR Atlas of Related Products

×