Welcome to chemicalbook!
+1 (818) 612-2111
RFQ
Try our best to find the right business for you.
Do not miss inquiry messages Please log in to view all inquiry messages.

Welcome back!

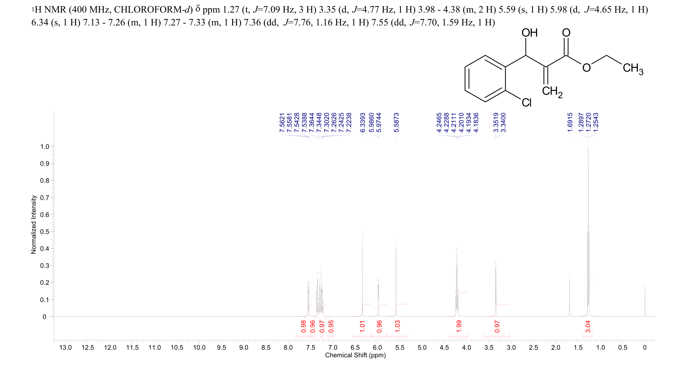
Back ChemicalBook Home>CAS DataBase List>88039-46-7More Spectrum> Benzenepropanoic acid, 2-chloro-b-hydroxy-a-methylene-, ethyl ester(88039-46-7) 1H NMR

88039-46-7

Benzenepropanoic acid, 2-chloro-b-hydroxy-a-methylene-, ethyl ester(88039-46-7) 1H NMR

Molecular FormulaC12H13ClO3

Molecular Weight240.68282

Benzenepropanoic acid, 2-chloro-b-hydroxy-a-methylene-, ethyl ester(88039-46-7) 1H NMR Atlas of Related Products

×