Welcome to chemicalbook!
+1 (818) 612-2111
RFQ
Try our best to find the right business for you.
Do not miss inquiry messages Please log in to view all inquiry messages.

Welcome back!

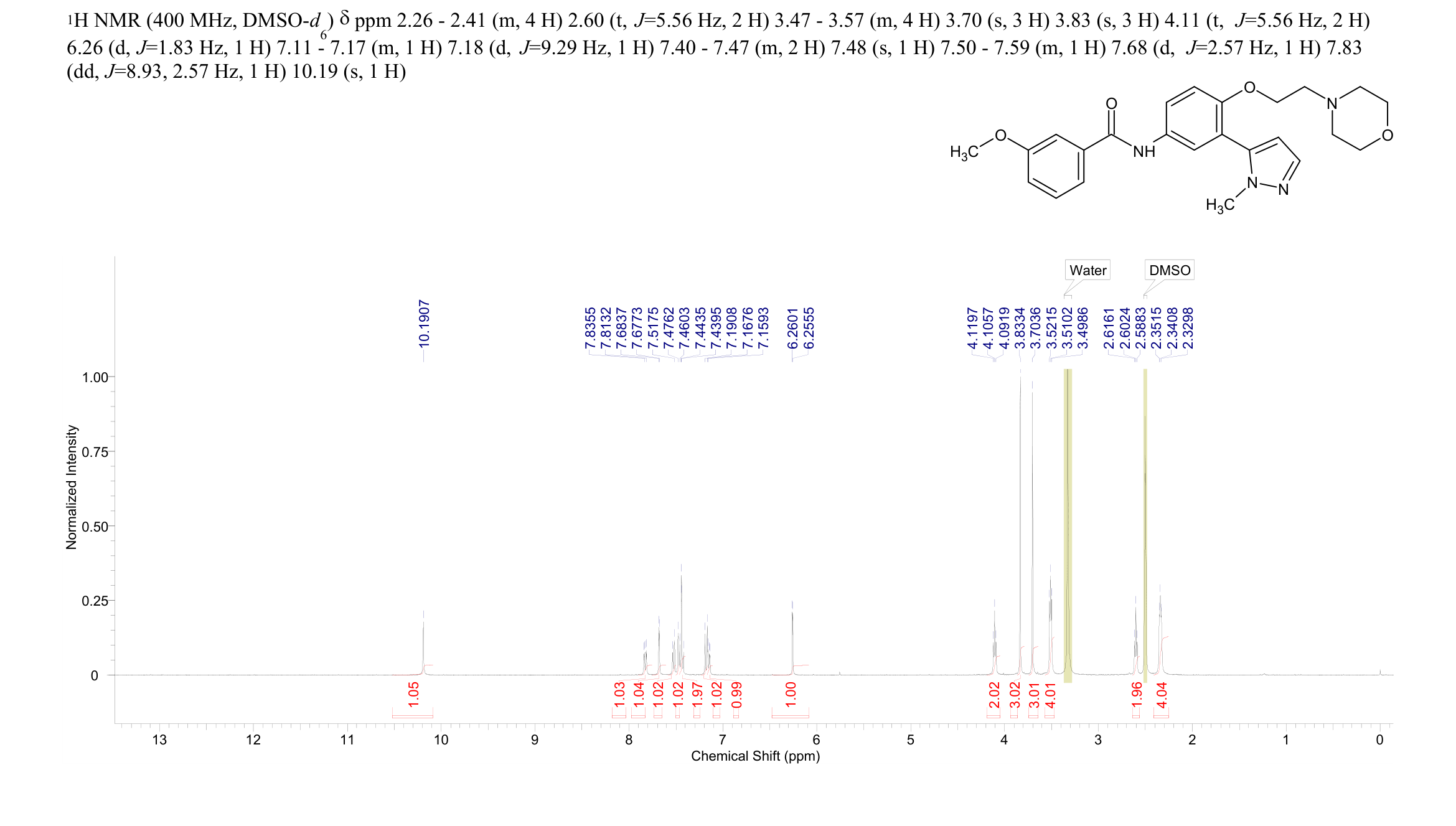
Back ChemicalBook Home>CAS DataBase List>887936-68-7More Spectrum> BenzaMide, 3-Methoxy-N-[3-(1-Methyl-1H-pyrazol-5-yl)-4-[2-(4-Morpholinyl)ethoxy]phenyl]-(887936-68-7) 1H NMR

887936-68-7

BenzaMide, 3-Methoxy-N-[3-(1-Methyl-1H-pyrazol-5-yl)-4-[2-(4-Morpholinyl)ethoxy]phenyl]-(887936-68-7) 1H NMR

Molecular FormulaC24H28N4O4

Molecular Weight436.5

BenzaMide, 3-Methoxy-N-[3-(1-Methyl-1H-pyrazol-5-yl)-4-[2-(4-Morpholinyl)ethoxy]phenyl]-(887936-68-7) 1H NMR Atlas of Related Products

×