Welcome to chemicalbook!
Chinese English Japanese Germany Korea
010-86108875
Try our best to find the right business for you.
Do not miss inquiry messages Please log in to view all inquiry messages.

Welcome back!

ChemicalBook CAS DataBase List 6-Methoxybenzo(b)thiophene
90560-10-4

6-Methoxybenzo(b)thiophene synthesis

13synthesis methods
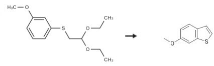
A solution of the crude 1- (2, 2-diethoxyethylsulfanyl)-3-methoxybenzene (8.27 g, 32.3 mmol) in hexane (100 ml) was added dropwise to a solution of methanesulfonic acid (1.05 mL, 1.55 g, 16.1 mmol) in hexane (1000 mL) containing 16.5 g of celite (2 wt. eq.). The resultant solution was heated at reflux for 1 hour. After cooling to room temperature, the reaction was quenched by the addition of Et3N (4.5 ml, 3.26 g, 32.3 mmol. The crude reaction mixture was filtered and then concentrated in vacuo. 6-Methoxybenzo(b)thiophene was obtained after purification.
6-Methoxybenzo(b)thiophene
-

Yield:90560-10-4 63%

Reaction Conditions:

Stage #1: 1-[(2,2-diethoxyethyl)sulfanyl]-3-methoxybenzenewith methanesulfonic acid;Celite in hexane; for 1 h;Heating / reflux;
Stage #2:
Stage #3: with triethylamine at 20;

Steps:

1a.B Example (1a): 6-methoxybenzo[b]thiophene; Method B

Method B: A solution of the crude 1- (2, 2-diethoxyethylsulfanyl)-3-methoxybenzene (8.27 g, 32.3 mmole) in hexane (100 ml) was added, dropwise, to a solution of [METHANESULFONIC] acid (1.05 [ML,] 1.55 g, 16.1 mmole) in hexane (1000 [ML)] containing 16.5 [G] of celite (2 wt. eq. ). The resultant solution was heated at reflux for one hour. After cooling to room temperature, the reaction was quenched by addition of Et3N (4.5 ml, 3.26 g, 32.3 [MMOLE).] The crude reaction mixture was filtered and the filtrate was concentrated, in vacuo, to give a red oil which was purified by silica gel chromatography. Elution with hexane: [ET20] (98: 2) and evaporation of the appropriate fractions gave 3.35 g (63%) of a [COLORLESS OIL.'H] NMR [(DMSO-D6)] 8 7.74 [(1 H,] d, [J=8. 7HZ),] 7.56 [(1 H,] d, [J = 2. 3 HZ),] 7.52 [(1 H,] d, [J=5. 3HZ),] 7.33 (1 H, d, J = 5.3Hz), 6.99 (1 H, dd, J = 2.3, 8.7 Hz), 3.81 (3H, s). Anal. Calcd. for [C9HBOS :] C, 65.82 ; H, 4.91 ; S, 19.53. Found: C, 66.01 ; H, 5.00 ; S, 19.40.

References:

WO2003/106462,2003,A1 Location in patent:Page 34

6-Methoxybenzo(b)thiophene Related Search: