Bis-Tris Propane: Buffering Applications, CO2 Fixation Catalysis, and Wet Scrubbing Use
Bis-Tris Propane acts as a versatile buffer, enhances CaI2-catalyzed CO2 fixation to cyclic carbonates, and works as a DMSO-based CO2 scrubbing agent.
Oct 21,2025 Catalyst and AuxiliaryTrifluoromethanesulfonimide: Proton Exchange Membranes and Allylsilane Annulations
Trifluoromethanesulfonimide enhances PEM proton conductivity and catalyzes allylsilane annulations to synthesize indanes/tetralins.
Oct 21,2025 Inorganic chemistryButyl Benzoate: Applications & Environmental Risk Assessments
Butyl benzoate, made from benzoic acid and n-butanol, is a solvent/perfume ingredient; it's non-genotoxic, safe for skin, and environmentally low-risk.
Oct 21,2025 Chemical Materials3-Mercaptopropyltriethoxysilane: Role in Polyorganosiloxane Nanoparticles and SBR Reinforcement
3-Mercaptopropyltriethoxysilane makes polyorganosiloxane nanoparticles for nanocomposite films and modifies illite to boost SBR's mechanical properties.
Oct 21,2025 Chemical MaterialsMultifunctional Bioactivity and Applications of Copper Tripeptide-1
Copper tripeptide-1 promotes wound healing, tissue regeneration, and neuroprotection through antioxidant, anti-inflammatory, and gene-regulating activities.
Oct 20,2025 Organometallic compounds5,6-Dihydroxyindole: Chemistry, Polymerization, and Material Applications
Explores 5,6-dihydroxyindole’s chemistry, polymerization mechanisms, and applications in biomaterials, eumelanin studies, and nanotechnology development.
Oct 20,2025 Organic ChemistryNorbornene-Mediated Catalysis for Selective Functionalization and Polymerization
Norbornene enables Catellani reactions, ortho C–H functionalization, and controlled ring-opening polymerization for advanced synthetic applications.
Oct 20,2025 Organic ChemistryPolyglycerol Esters:Synthesis, Application and Economic Optimization
This reviews the synthesis methods, multifunctional applications, and economic analysis of polyglycerol fatty acid esters.
Oct 20,2025 Organic Chemistry6-Hydroxy-2(1H)-3,4-dihydroquinolinone: Key Intermediate and Efficient Synthetic Strategies
6-Hydroxy-2(1H)-3,4-dihydroquinolinone is a key quinolinone intermediate with broad medicinal potential and efficient synthetic versatility.
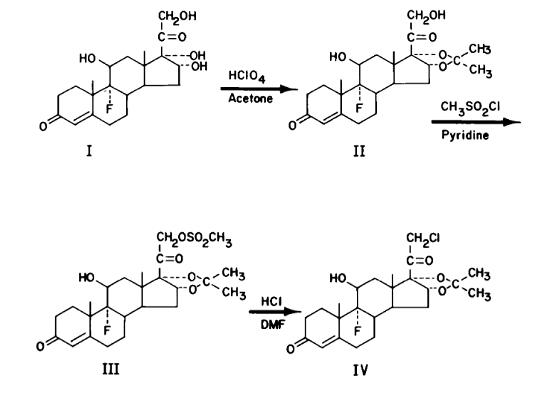
Oct 20,2025 Organic ChemistryHalcinonide: Review of Synthesis, Efficacy, and Safety
Halcinonide is a topical corticosteroid with enhanced anti-inflammatory activity, effective in treating psoriasis and corticosteroid-responsive dermatoses.
Oct 20,2025 Drugs












