| Identification | Back Directory | [Name]
PCO371 | [CAS]
1613373-33-3 | [Synonyms]
PCO371 CPD2050 PCO371,PCO 371,inhibit,Inhibitor,THR,PCO-371,Thyroid Hormone Receptor 1-[3,5-Dimethyl-4-[2-[[4-oxo-2-[4-(trifluoromethoxy)phenyl]-1,3,8-triazaspiro[4.5]dec-1-en-8-yl]sulfonyl]ethyl]phenyl]-5,5-dimethyl-2,4-imidazolidinedione 2,4-Imidazolidinedione, 1-[3,5-dimethyl-4-[2-[[4-oxo-2-[4-(trifluoromethoxy)phenyl]-1,3,8-triazaspiro[4.5]dec-1-en-8-yl]sulfonyl]ethyl]phenyl]-5,5-dimethyl- | [Molecular Formula]
C29H32F3N5O6S | [MOL File]
1613373-33-3.mol | [Molecular Weight]
635.65 |
| Chemical Properties | Back Directory | [density ]
1.47±0.1 g/cm3(Predicted) | [storage temp. ]
Store at -20°C | [solubility ]
DMSO: 125 mg/mL (196.65 mM) | [form ]
Solid | [pka]
8.39±0.10(Predicted) | [color ]
White to off-white | [InChIKey]
LDZJFVOUPUFOHX-UHFFFAOYSA-N | [SMILES]
C1(=O)N(C2=CC(C)=C(CCS(N3CCC4(N=C(C5=CC=C(OC(F)(F)F)C=C5)NC4=O)CC3)(=O)=O)C(C)=C2)C(C)(C)C(=O)N1 |
| Hazard Information | Back Directory | [Description]
PCO371(1613373-33-3) is a novel, orally active small molecule that acts as a full agonist of PTHR1. PCO371 does not affect the PTH type 2 receptor (PTHR2), and analysis using PTHR1-PTHR2 chimeric receptors indicated that Proline 415 of PTHR1 is critical for PCO371-mediated PTHR1 activation[1].
| [Uses]
PCO371(1613373-33-3) is a non-peptide chemical parathyroid hormone receptor 1 (PTHR1) agonist that exhibits PTH-mimetic activity in vivo via oral administration. PTH1R is a class B1 G protein-coupled receptor (GPCR) and a major regulator of mineral ion homeostasis and bone metabolism. PTH1R responds to ligands for parathyroid hormone (PTH) and parathyroid hormone-related peptide (PTHrP) and activates Gs, Gq and β-arrestins. Natural and modified forms of these ligands induce substantial anabolic bone formation and are used in the clinical treatment of osteoporosis. PCO371 is used in the treatment of patients with hypoparathyroidism.
| [Biological Activity]
PCO371 selectively induces cAMP production in COS-7 cells expressing human PTH1R (EC50 = 2.4 μM) over COS-7 cells expressing human PTH2R (EC50 = > 100 μM). PCO371 (1 and 3 μM) induces calcium release from isolated fetal rat long bones. It increases lumbar spine and proximal femur bone mineral density (BMD), lumbar spine bone strength, serum levels of osteocalcin, and bone formation in the lumbar spine without affecting serum calcium levels in an ovariectomized (OVX) rat model of osteopenia when administered at a dose of 10 mg/kg per day. PCO371 (9 mg/kg) increases serum, but not urinary, calcium levels in a hypocalcemic thyroparathyroidectomized (TPTX) rat model of hypothyroidism. | [Synthesis]
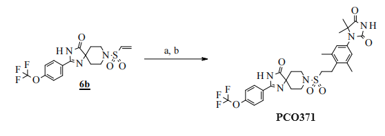
PCO371 is obtained by the Heck reaction of vinylsulfonamide intermediate 6b with aryl bromide followed by hydrogenation[1].
 | [storage]
Store at -20°C | [References]
[1] YOSHIKAZU NISHIMURA*. Lead Optimization and Avoidance of Reactive Metabolite Leading to PCO371, a Potent, Selective, and Orally Available Human Parathyroid Hormone Receptor 1 (hPTHR1) Agonist[J]. Journal of Medicinal Chemistry, 2020, 63 10: 5089-5099. DOI:10.1021/acs.jmedchem.9b01743. |
|
| Company Name: |
Twochem Co.Ltd.
|
| Tel: |
021-58111628 15800915896 |
| Website: |
cn.twochem.com |
| Company Name: |
Wuhan Topule
|
| Tel: |
+86-02787215551 +86-19945035818 |
| Website: |
http://www.topule.com/ |
|