ChemicalBook--->CAS DataBase List--->170709-41-8

170709-41-8

170709-41-8 Structure

170709-41-8 Structure
IdentificationBack Directory
[Name]

(1S,2S)-N,N'-DI-P-TOLUENESULFONYL-1,2-DIPHENYL-1,2-ETHYLENEDIAMINE
[CAS]

170709-41-8
[Synonyms]

(1S,2S)-N,N'-DITOSYL-1,2-DIPHENYL-1,2-ETHANEDIAMINE
(1S,2S)-N,N'-Di-p-tosyl-1,2-diphenyl-1,2-ethylenediamine
(1S,2S)-N,N'-Di-p-tosyl-1,2-diphenyl-1,2-ethylenediamine,99%e.e.
(1S,2S)-N,N'-Di-p-tosyl-1,2-diphenyl-1,2-ethylenediamine, min. 98%
(1S,2S)-N,N'-DI-P-TOLUENESULFONYL-1,2-DIPHENYL-1,2-ETHYLENEDIAMINE
1S,2S-N,N'-Di-p-Toluenesulphonyl-1,2- Diphenyl-1,2-Ethylenediamine
(1S,2S)-N,N'-Di-p-toluenesulfonyl-1,2-diphenyl-1,2-ethylenediamine,98%
[Molecular Formula]

C28H28N2O4S2
[MDL Number]

MFCD00269674
[MOL File]

170709-41-8.mol
[Molecular Weight]

520.66
Chemical PropertiesBack Directory
[Appearance]

White to off-white crystalline solid
[Melting point ]

202-204 °C
[form ]

Powder
[color ]

white to light-yellow
Hazard InformationBack Directory
[Chemical Properties]

White to off-white crystalline solid
Safety DataBack Directory
[Symbol(GHS) ]


GHS07
[Signal word ]

Warning
[Hazard statements ]

H332-H302-H312
[Precautionary statements ]

P264-P270-P301+P312-P330-P501-P280-P302+P352-P312-P322-P363-P501-P261-P271-P304+P340-P312
[Safety Statements ]

24/25
Questions And AnswerBack Directory
[Reaction]

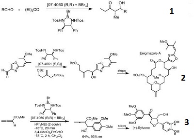
  1. Chiral reagent used the natural product synthesis of the rice and corn weevil aggregation pheromone sitophilure
  2. Chiral reagent used in the total synthesis of enigmazole A
  3. Chiral reagent used in the enantioselective synthesis of Furan Lignan (+)-Sylvone
Reactions of 170709-41-8
Spectrum DetailBack Directory
[Spectrum Detail]

(1S,2S)-N,N'-DI-P-TOLUENESULFONYL-1,2-DIPHENYL-1,2-ETHYLENEDIAMINE(170709-41-8)1HNMR
170709-41-8 suppliers list
Company Name: Alchem Pharmtech,Inc.
Tel: 8485655694
Website: www.chemicalbook.com/ShowSupplierProductsList454175/0_EN.htm
Company Name: Aladdin Scientific
Tel:
Website: www.aladdinsci.com/
Company Name: Watson Biotechnology Co.,Ltd
Tel: +86-18186686046 +86-18186686046; , +86-18186686046;
Website: https://www.chemicalbook.com/manufacturer/cnwhwatson/
Company Name: Daicel Chiral Technologies (China)CO.,LTD  
Tel: 021-50460086-9 15921403865
Website: http://www.daicelchiraltech.cn/reagents/Default.aspx
Company Name: Tianjin Derchemist Science & Technology Co., Ltd.  
Tel: 22-58627059 13920586291
Website: http://www.derchemist.com
Company Name: Chengdu Forest Science and Technology Development Co., Ltd.  
Tel: 18030648795 18030648795
Website: http://www.cdforestchem.com
Company Name: Acesys Pharmatech  
Tel: 18860950986
Website: www.chemicalbook.com/ShowSupplierProductsList15849/0_EN.htm
Company Name: Shanghai Qiao Chemical Science Co., Ltd  
Tel: 021-58892003
Website: https://www.chemicalbook.com/supplier/10168672/1.htm
Company Name: Shanghai YuanYe Biotechnology Co., Ltd.  
Tel: 021-61312847; 18021002903
Website: http://www.shyuanye.com
Company Name: Greenherbs Science and Technology Development Co., Ltd.  
Tel: 010-61136123
Website: www.greenherbs.com.cn
Company Name: Wuhan FengyaoTonghui Chemical Products Co., Ltd.  
Tel: 027-87466105 15377573527
Website: www.chemicalbook.com/ShowSupplierProductsList30440/0_EN.htm
Company Name: Shanghai Anyinuo Biomedical Technology Co., Ltd.  
Tel: 021-34625901 18018851262;
Website: https://www.aynchem.com
Company Name: Shanghai Jizhi Biochemical Technology Co. Ltd.  
Tel: 021-4009004166/18616739031 18616739031
Website: www.acmec-e.com/
Company Name: Henan Alpha Chemical Co., Ltd.  
Tel: 0371-55055611 18137792234
Website: www.chemicalbook.com/showsupplierproductslist31206/0.htm
Company Name: Shaoxing Zejun Pharmaceuticals Co.,Ltd  
Tel: 0575-82126188 15395856318
Website: www.zejunpharma.com
Company Name: Shanghai Kaiwei Chemical Technology Co., Ltd.  
Tel: 021-58461859 15821823057
Website: http://www.aivichem.com
Company Name: Nanjing Becas pharmatech Ltd.  
Tel: +86-13912903754; 13912903754
Website: www.becaspharma.com
Company Name: Chengdu rongchuangyiheng Biomedical Technology Co., Ltd  
Tel: 13438025684
Website: http://www.cdeternalbio.com
Tags:170709-41-8 Related Product Information
1067631-21-3 180683-64-1 174291-96-4 1067631-22-4 511534-44-4 121758-19-8 1391731-16-0 112068-01-6 167316-27-0 35132-20-8 174291-97-5 146504-07-6 29841-69-8 144222-34-4 22348-32-9

  • HomePage | Member Companies | Advertising | Contact us | Previous WebSite | MSDS | CAS Index | CAS DataBase | Privacy | Terms | About Us
  • All products displayed on this website are only for non-medical purposes such as industrial applications or scientific research, and cannot be used for clinical diagnosis or treatment of humans or animals. They are not medicinal or edible.
    According to relevant laws and regulations and the regulations of this website, units or individuals who purchase hazardous materials should obtain valid qualifications and qualification conditions.
  • Copyright © 2023 ChemicalBook All rights reserved.