| Identification | More | [Name]
4-Pyridazinecarboxylic acid | [CAS]
50681-25-9 | [Synonyms]
4-PYRIDAZINECARBOXYLIC ACID PYRIDAZINE-4-CARBOXYLIC ACID Pyridazine-4-Dicarboxylic Acid 4-PYRIDAZINECARBOXYLIC ACID 99% 1-(3-METHOXYPHENYL)-1-PHENYLETHANOL | [EINECS(EC#)]
610-561-9 | [Molecular Formula]
C5H4N2O2 | [MDL Number]
MFCD00011576 | [Molecular Weight]
124.1 | [MOL File]
50681-25-9.mol |
| Chemical Properties | Back Directory | [Appearance]
Off-white to brown powder | [Melting point ]
244.2 °C (dec.) (lit.) | [Boiling point ]
404.2±18.0 °C(Predicted) | [density ]
1.403±0.06 g/cm3(Predicted) | [storage temp. ]
Sealed in dry,Room Temperature | [form ]
powder to crystal | [pka]
3.18±0.10(Predicted) | [color ]
White to Almost white | [InChI]
InChI=1S/C5H4N2O2/c8-5(9)4-1-2-6-7-3-4/h1-3H,(H,8,9) | [InChIKey]
JUSIWJONLKBPDU-UHFFFAOYSA-N | [SMILES]
C1=NN=CC=C1C(O)=O | [CAS DataBase Reference]
50681-25-9(CAS DataBase Reference) |
| Safety Data | Back Directory | [Symbol(GHS) ]
 GHS07 | [Signal word ]
Warning | [Hazard statements ]
H315-H319-H335 | [Precautionary statements ]
P261-P264-P271-P280-P302+P352-P305+P351+P338 | [Hazard Codes ]
Xi | [Risk Statements ]
R36/37/38:Irritating to eyes, respiratory system and skin . | [Safety Statements ]
S26:In case of contact with eyes, rinse immediately with plenty of water and seek medical advice . S37/39:Wear suitable gloves and eye/face protection . | [WGK Germany ]
3
| [Hazard Note ]
Irritant | [HazardClass ]
IRRITANT | [HS Code ]
29339900 |
| Hazard Information | Back Directory | [Chemical Properties]
Off-white to brown powder | [Uses]
4-Pyridazinecarboxylic Acid is the pyridazine analog of Nicotinic Acid (N429250). 4-Pyridazinecarboxylic Acid is a glutamate racemase inhibitor. It is also used in characterization study of nicotinic acid receptors in mouse macrophages | [Definition]
4-Pyridazinecarboxylic acid is a derivative of Pyridazine which has highly π-deficient aromatic character can be used as electron-withdrawing part into push-pull structures favoring the intramolecular charge transfer (ICT)[2].
| [General Description]
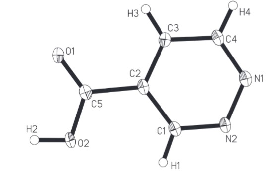
Surface electrochemical studies of 4-pyridazinecarboxylic acid adsorbed at Pt(111) surfaces by electron energy-loss and Auger spectroscopy has been reported. | [Structure and conformation]
Pnma(no. 62), a= 11.165(2) ?, b= 6.215(1) ?, c= 7.413(2) ?, V= 514.4 ?3, Z=4, Rgt(F)= 0.0567, wRref(F2)= 0.1515, T= 153K[1].
 | [References]
[1] Deng S, et al. Crystal structure of 4-pyridazinecarboxylic acid, C5H4N2O2. Zeitschrift für Kristallographie - New Crystal Structures, 2015; 230. |
|
|