140645-23-4
中文名称
(R)-1-Boc-3-氨甲基哌啶
英文名称
(R)-N-Boc-3-aminomethylpiperidine
CAS
140645-23-4
分子式
C11H22N2O2
MDL 编号
MFCD03839876
分子量
214.3
MOL 文件
140645-23-4.mol
更新日期
2026/05/19 12:34:02
140645-23-4 结构式
基本信息
中文别名
R-1-BOC-3-氨甲基哌啶(R)-1-叔丁氧羰基-3-氨甲基哌啶
3-氨甲基哌啶-1-甲酸叔丁酯
英文别名
(R)-1-BOC-3-(AMINOMETHYL)PIPERIDINE(R)-1-N-BOC-3-(AMINOMETHYL)PIPERIDINE
(R)-1-N-BOC-PIPERIDINE-3-METHYLAMINE
(R)-3-AMINOMETHYL-1-N-BOC-PIPERIDINE
(R)-3-AMINOMETHYL-PIPERIDINE-1-CARBOXYLIC ACID TERT-BUTYL ESTER
(R)-N-BOC-3-AMINOMETHYLPIPERIDINE
(R)-TERT-BUTYL 3-(AMINOMETHYL)PIPERIDINE-1-CARBOXYLATE
1,1-dimethyl (3R)-3-(aminomethyl)-1-piperidinecarboxylate
3-(Aminomethyl)-1-Boc-piperidine
3-Aminomethyl-piperidine-1-carboxylic acid tert-butyl ester
tert-Butyl 3-(aminomethyl)piperidine-1-carboxylate
(R)-3-(Aminomethyl)piperidine, N1-BOC protected
物理化学性质
沸点299.4±13.0 °C(Predicted)
密度0.997g/mLat 25℃
折射率n20/D 1.473
闪点>110°C
储存条件2-8°C
酸度系数(pKa)10.12±0.29(Predicted)
形态液体
颜色透明无色至淡黄色
InChI1S/C11H22N2O2/c1-11(2,3)15-10(14)13-6-4-5-9(7-12)8-13/h9H,4-8,12H2,1-3H3/t9-/m1/s1
InChIKeyWPWXYQIMXTUMJB-SECBINFHSA-N
SMILESCC(C)(C)OC(=O)N1CCC[C@H](CN)C1
安全数据
警示词警告
危险品标志Xi
危险类别码22-50-36/37/38
安全说明26-61
危险品运输编号UN 3082 9 / PGIII
WGK Germany3
海关编码2933399990
存储类别10 - Combustible liquids
危险性类别Acute Tox. 4 Oral
Aquatic Acute 1
Eye Irrit. 2
Skin Irrit. 2
STOT SE 3
Aquatic Acute 1
Eye Irrit. 2
Skin Irrit. 2
STOT SE 3
常见问题列表
用途
(R)-1-Boc-3-氨甲基哌啶是合成许多药物的重要中间体。以(R)-1-Boc-3-氨甲基哌啶为原料合成了系列检验点激酶 1(Checkpoint Kinase 1,CHK1)抑制剂,对治疗类风湿病具有一定的疗效;以该化合物为原料合成了系列治疗由MCH (Melanin-concentrating hormone)引起的相关疾病的药物,该类药物对治疗新陈代谢紊乱亦有一定效果;合成了含有1-N-Boc-4-甲氨甲基哌啶结构单元的 G-蛋白偶联受体(G-protein coupled receptor, GPCR)激动剂,可用于治疗肥胖症和糖尿病;也利用(R)-1-Boc-3-氨甲基哌啶合成了系列调节新陈代谢、治疗心脏血管疾病的系列药物。
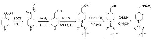
制备
以 3-哌啶乙酸为原料,经酯化、还原、叔丁氧羰基保护、溴代、甲胺化五步反应,以 72 %的总收率合成了重要药物中间体1-Boc-3-氨甲基哌啶,再经手性拆分制备(R)-1-Boc-3-氨甲基哌啶。其合成路线图如下:
图1 (R)-1-Boc-3-氨甲基哌啶合成路线图
(R)-1-Boc-3-氨甲基哌啶价格(试剂级)
| 报价日期 | 产品编号 | 产品名称 | CAS号 | 包装 | 价格 |
| 2026/03/03 | H52561 | (R)-3-氨基甲基-1-Boc-哌啶, 97% (R)-3-Aminomethyl-1-Boc-piperidine, 97% | 140645-23-4 | 250mg | 309元 |
| 2026/03/03 | 43642 | (R)-1-Boc-3-氨甲基哌啶 (R)-1-BOC-3-(Aminomethyl)piperidine, 97%, Thermo Scientific Chemicals | 140645-23-4 | 5g | 7450元 |
| 2025/05/22 | H52561 | (R)-3-氨基甲基-1-Boc-哌啶, 97% (R)-3-Aminomethyl-1-Boc-piperidine, 97% | 140645-23-4 | 1g | 1378元 |

