169590-42-5
                            中文名称
                            塞来西布
                            
                        
                        
                        
                            英文名称
                            Celecoxib
                            
                        
                        
                        
                            CAS
                            
                            169590-42-5
                            
                        
                        
                        
                            分子式
                            C17H14F3N3O2S
                            
                        
                        
                        
                            MDL 编号
                            MFCD00941298        
                            
                        
                        
                        
                            分子量
                            381.37
                            
                        
                        
                        
                            MOL 文件
                            169590-42-5.mol
                            
                        
                        
                        
                            更新日期
                            
                            2025/10/29 15:47:40
                            
                        
                        
                     169590-42-5 结构式
                        169590-42-5 结构式
                    基本信息
中文别名
4-[5-(4-甲基苯基)-3-(三氟甲基)吡挫-1-基]苯磺酰胺塞来西布
塞内昔布
赛利克西
塞来考昔
塞来克西
塞来昔布
噻利考西
赛来克西
英文别名
4-[[5-(4-METHYLPHENYL)-3-TRIFLUOROMETHYL]-1H-PYRAZOL-YL]BENZENESULFONAMIDE4-[5-((4-METHYLPHENYL)-3-TRIFLUORPMETHYL)-1H-PYRAZOL-YL]BENENESULFONAMIDE
CELEBREX
CELECOXIB
Celecoxib, 4-[5-(4-Methylphenyl)-3-trifluoromethyl)-1H-pyrazol-yl]benzenesulfonamide
Benzenesulfonamide, 4-5-(4-methylphenyl)-3-(trifluoromethyl)-1H-pyrazol-1-yl-
4-[5-(4-methylphenyl)-3-(trifluoromethyl)pyrazol-1-yl]benzenesulfonamide
Celebra
Celecox
Celocoxib
SC 58635
YM 177
所属类别
原料药:非甾抗炎药物理化学性质
熔点157-159°C
沸点529.0±60.0 °C(Predicted)
密度1.43±0.1 g/cm3(Predicted)
储存条件2-8°C
溶解度二甲基亚砜:>20mg/mL
酸度系数(pKa)9.68±0.10(Predicted)
形态粉末
颜色白色至灰白色
水溶解性7mg/L(25 ºC)
Merck14,1956
BCS Class2
稳定性可在-20°下的DMSO或乙醇溶液保存长达3个月。
InChIInChI=1S/C17H14F3N3O2S/c1-11-2-4-12(5-3-11)15-10-16(17(18,19)20)22-23(15)13-6-8-14(9-7-13)26(21,24)25/h2-10H,1H3,(H2,21,24,25)
InChIKeyRZEKVGVHFLEQIL-UHFFFAOYSA-N
SMILESC1(S(N)(=O)=O)=CC=C(N2C(C3=CC=C(C)C=C3)=CC(C(F)(F)F)=N2)C=C1
安全数据
警示词危险
危险性描述H360D-H373-H410
危险品标志Xn
危险类别码20/21/22-52-61-60
危险品运输编号UN 3077 9 / PGIII
WGK Germany3
RTECS号DB2944937
危险等级IRRITANT
海关编码29350090
常见问题列表
简介
塞来昔布是新一代非甾体抗炎镇痛药,通过选择性抑制环氧化酶-2(COX-2)来抑制前列腺素生成,达到抗炎症、镇痛的效果。
环氧化酶-2的特异性抑制剂
塞来昔布与罗非昔布是目前临床上常用的两种环氧化酶-2(COX-2)的特异性抑制剂,由美国GD Searle & Pfizer公司研发成功,1999年上市销售,商品名:Celebrex,西乐葆,本品有显著的止痛抗炎作用,上消化道溃疡及其他并发症的发生率最低。塞来昔布为非甾体抗炎药,通过抑制环氧化酶-2 (COX-2)阻断花生四烯酸合成前列腺素而发挥抗炎镇痛作用。临床适用于治疗急、慢性骨关节炎和类风湿性关节炎。
药理作用
塞来昔布有NSAIDs的抗炎镇痛作用。由于其化学结构的特点,本品可以与COX-2结合,且对COX-2有选择性的抑制作用。塞来昔布的苯基与COX-2的疏水通道结合,亲水的磺胺基与COX-2“侧袋”内的513 位精氨酸及90位组氨酸形成氢链。本品又与COX-2120位置的精氨酸密切结合而起到了抑制COX-2对花生四烯酸转化为对人体不利的前列腺素的作用,由于COX-1与COX-2结构的细微差别,该药不能进入COX-1的分子内,也不能抑制COX-1转化花生四烯酸为前列腺素的作用。
因此,本品有良好的抗炎镇痛、保护胃黏膜、维持肾血流量、调节血小板凝聚作用,又解决了常用NSAIDs的消化道刺激作用。
以上信息由chemicalbook的Andy编辑整理。
临床研究
塞来昔布已在23个国家1.3 万余名受试者进行了50批临床试验。对骨关节炎(OA)和类风湿性关节炎 (RA)的抗炎止痛方面进行的研究:受试者都是诊断OA或RA至少3个月,疾病处于活动期或复发阶段,年龄在18~93岁,诊断标准评价依据美国风湿协会(ACR)的标准。对关节疼痛的评价标准用可视模拟分度表(VAS) 和美国疼痛检测表(APS),关节疼痛、僵硬和功能受损情况的评价用WOMAC骨关节指数和健康评估问答(HAQ)功能障碍指数。广泛的临床试验均证实塞来昔布对OA和RA的疼痛是有效的。
塞来昔布对OA的临床试验疗效结论:通过VAS评价,100 mg、200 mg,bid,在减轻 OA患者的症状和体征上与萘普生500mg, bid疗效相同,优于安慰剂组,塞来昔布200 mg,bid无明显优于100mg,bid的疗效。对于 OA患者,止痛效果出现在24~48 h,与萘普生500mg,bid起效时间相当。用WOMAC(疼痛、关节僵硬和功能受损)评估,塞来昔布 100 mg,bid,200 mg,bid与萘普生500 mg,bid 作用相当。塞来昔布200 mg,qd和100mg, bid两种方法在减轻OA症状上疗效相同。
塞来昔布对RA的临床试验疗效结论:塞来昔布100 mg,bid和200mg,bid治疗RA 可达到有显著临床意义的症状缓解,与萘普生500 mg,bid疗效相当。对于RA患者肿胀和疼痛/压痛关节数目的减少,塞来昔布 100,200,400 mg,bid的疗效相似,与萘普生 500 mg,bid疗效相当。
药代动力学
口服塞来昔布后,可以很快吸收,约3h达峰浓度,单剂量口服200 mg峰浓度为705 ng/ml,吸收后与血浆蛋白结合高达97%;药物分布广,表观分布容积(455± 166)L;在体内由肝P450(CYP)2C9代谢酶代谢。羧酸和葡萄糖苷酸结合生物转化,由尿和粪便排出,有2%以原形由尿和大便排出; 消除半衰期约1 h。药物处置和药动学变化随人种和年龄而有差异,轻度肝损害总吸收量(AUC)有增大。本品与高脂肪同时服用则血浆峰浓度将延长1~2h,AUC增加10%~20%;与铝镁抗酸剂一起服用时峰浓度将降低37%,AUC下降 10%;与华法令、酮康唑、甲氨喋呤(MTX)合用时无相互作用;与氟康唑、锂合用时有临床意义的相互作用,cmax减少37%,AUC下降 10%。
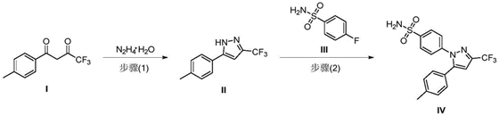
合成方法
往250mL的三口瓶中边搅拌边依次加入5-(4-甲基苯)-3-(三氟甲基)-1H-吡唑(22.6g,100.0mmol),200ml N,N-二甲基甲酰胺,叔丁醇钾(13.4g,120.0 mmol),25℃搅拌30min后加入4-氟苯磺酰胺(22.8g,130.0mmol)升温至75℃搅拌12h,冷却至室温。加入水,用乙酸乙酯萃取。有机相再用水洗一遍,无水硫酸钠干燥,过滤,浓缩得粗品。粗品用乙酸乙酯、正己烷重结晶,抽滤干燥得塞来昔布(34.1g,89.5%)。[1]

[1] 龚轩,王如勇,郑建加等. 一种塞来昔布的合成方法. CN111484453A
安全性和耐受性
由国外临床至少8500名受试者中收集到资料显示,他们服用塞来昔布的剂量至少为每日200 mg,其中400例每日服800mg(400mg,bid)。大约3900例服药超过6个月,2300例超过一年,124例超过 2年,发现服用塞来昔布的受试者耐受性和安全性良好。不良反应
较少有胃肠道反应,对肾功能和血小板影响很小。急性过量可出现疲倦、嗜睡、恶心、呕吐和上腹痛,支持治疗后可缓解。可有胃肠道出血。罕见高血压、急性肾功能衰竭、呼吸抑制和昏迷。注意事项
对本产品中任何成分过敏者、已知对磺胺过敏者禁用。哮喘、荨麻疹或急性鼻炎的患者应避免服用塞来昔布。
不应用于哺乳期妇女。
白三烯拮抗剂扎鲁司特(zafirlukast)、抗真菌药氟康唑及他汀类调血脂药氟伐他汀与塞来昔布同服时,可使塞来昔布代谢减慢而升高血药浓度。
塞来昔布可使β受体阻断剂、抗抑郁药及抗精神病药的血药浓度升高。因此,塞来昔布与上述各药合用时应予注意。
 
                        
