191162-39-7
中文名称
喹啉-3-硼酸
英文名称
3-Quinolineboronic acid
CAS
191162-39-7
分子式
C9H8BNO2
MDL 编号
MFCD02183527
分子量
172.98
MOL 文件
191162-39-7.mol
更新日期
2026/02/12 16:58:53
191162-39-7 结构式
基本信息
中文别名
3-喹啉硼酸喹啉-3-硼酸
英文别名
3-QUINOLINEBORONIC ACID3-QUINOLINYLBORONI ACID
3-QUINOLINYLBORONIC ACID
3-QUINOLYL BORONIC ACID
AKOS BRN-0151
CHEMBRDG-BB 4003837
QUINOLIN-3-YLBORONIC ACID
QUINOLINE-3-BORONIC ACID
RARECHEM AK VD 0023
3-Quinolineboronic
Quinoline-3-boronic Acid (contains varying amounts of Anhydride)
Quinolin-3-yl-3-boronic acid
3-Quinolineboronic acid ,97%
所属类别
医药中间体:喹啉类化合物物理化学性质
熔点148-155°C
沸点400.3±37.0 °C(Predicted)
密度1.28±0.1 g/cm3(Predicted)
储存条件Keep Cold
溶解度可溶于DMSO(少许)、甲醇(少许)
酸度系数(pKa)4.61±0.30(Predicted)
形态粉末
颜色浅粉色或橙色至浅棕色
检测方法T,NMR
BRN8764547
InChIInChI=1S/C9H8BNO2/c12-10(13)8-5-7-3-1-2-4-9(7)11-6-8/h1-6,12-13H
InChIKeyYGDICLRMNDWZAK-UHFFFAOYSA-N
SMILESN1C2C(=CC=CC=2)C=C(B(O)O)C=1
安全数据
警示词警告
危险性描述H315-H319-H335
危险品标志Xn,Xi
危险类别码R36/37/38-R22
WGK Germany3
Hazard NoteIrritant
危险等级IRRITANT, KEEP COLD
海关编码29334900
存储类别11 - Combustible Solids
危险性类别Eye Irrit. 2
Skin Irrit. 2
STOT SE 3
Skin Irrit. 2
STOT SE 3
常见问题列表
应用
喹啉-3-硼酸为硼酸类衍生物,用作有机试剂,医药中间体。合成
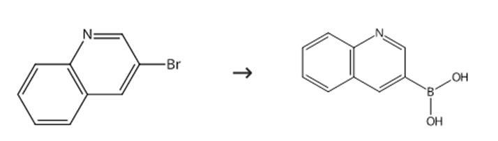
向配备有温度探头、磁力搅拌器和隔膜的50 mL圆底烧瓶中加入甲苯(16 mL)和THF(4 mL)。将烧瓶置于氮气环境中。向烧瓶中加入硼酸三异丙酯(12 mmol)和卤化芳基(10 mmol)。使用干冰/丙酮浴将混合物冷却至-70°C。在1小时内通过注射泵向反应混合物中滴加正丁基锂(2.5M己烷溶液,4.8mL,12mmol)。将混合物再搅拌0.5小时,同时将温度保持在-70°C。取下丙酮/干冰浴。使反应混合物升温至-20°C。向反应混合物中加入2N HCl溶液(10mL)。当混合物达到室温时,将混合物转移到100 mL分液漏斗中。分离图层。通过HPLC测定有机层和水层。使用5 N NaOH溶液将水层中和至pH~7。用THF(x3)萃取水层。真空蒸发合并的THF提取物。从乙腈中重新结晶固体得到标题化合物喹啉-3-硼酸。
图 喹啉-3-硼酸的合成路线
知名试剂公司产品信息
Acros Organics
3-喹啉硼酸3-Quinoline boronic acid, 97%(191162-39-7)
Sigma Aldrich
191162-39-7(sigmaaldrich)喹啉-3-硼酸价格(试剂级)
| 报价日期 | 产品编号 | 产品名称 | CAS号 | 包装 | 价格 |
| 2025/12/22 | Q0080 | 喹啉-3-硼酸(含有数量不等的酸酐) Quinoline-3-boronic Acid (contains varying amounts of Anhydride) | 191162-39-7 | 1G | 180元 |
| 2025/12/22 | Q0080 | 喹啉-3-硼酸(含有数量不等的酸酐) Quinoline-3-boronic Acid (contains varying amounts of Anhydride) | 191162-39-7 | 5G | 690元 |
| 2025/12/22 | XW1911623971 | 喹啉-3-硼酸 quinoline-3-boronic acid;3-quinolineboronic acid;(3-quinolinyl)boronic acid;(3-quinolyl)boronic acid;quinolin-3-ylboronic acid | 191162-39-7 | 1G | 23元 |
