432-25-7
中文名称
BETA-环柠檬醛
英文名称
BETA-CYCLOCITRAL
CAS
432-25-7
分子式
C10H16O
分子量
152.23
MOL 文件
432-25-7.mol
更新日期
2026/05/06 11:39:12
432-25-7 结构式
基本信息
中文别名
Α-檬油醛~-环柠檬醛
B-环柠檬醛
Β-环柠檬醛
Α-環檸檬油醛
BETA-环柠檬醛
Β-环柠檬醛,90+%
Β-环柠檬醛,TECH
BETA-环柠檬醛 90+%
Β-环柠檬醛,TECH.80%
英文别名
FEMA 3639B-CYCLOCITRAL
β-cyclocitral
á-cyclocitral
BETA-CYCLOCITRAL
CYCLOCITRAL, BETA-
~-Cyclocitral,70+%
SS-CYCLOCITRAL: 70%
β-Cyclocitral, 90+%
^b-Cyclocitral, 90+%
所属类别
化学试剂:其他酯类化合物物理化学性质
熔点62-63 C
沸点62-63 °C3 mm Hg(lit.)
密度0.943 g/mL at 25 °C(lit.)
折射率n20/D 1.497(lit.)
闪点>230 °F
储存条件2-8°C
溶解度Chloroform (Slightly), Dichloromethane, Ethyl Acetate (Slightly), Methanol (Slightly)
形态Oil
颜色无色至深黄色
气味 (Odor)at 10.00 % in dipropylene glycol. tropical saffron herbal clean rose oxide sweet tobacco damascone fruity
香型tropical
水溶解性Soluble in chloroform, dichloromethane, ethyl acetate and methanol. Insoluble in water.
敏感性空气敏感
JECFA Number979
稳定性感光
主要应用cleaning products
cosmetics
flavors and fragrances
food and beverages
personal care
cosmetics
flavors and fragrances
food and beverages
personal care
化妆品成分功效PERFUMING
InChI1S/C10H16O/c1-8-5-4-6-10(2,3)9(8)7-11/h7H,4-6H2,1-3H3
InChIKeyMOQGCGNUWBPGTQ-UHFFFAOYSA-N
SMILES[H]C(=O)C1=C(C)CCCC1(C)C
LogP3.26
安全数据
警示词警告
危险品标志Xn,Xi
危险类别码20/21/22-36/37/38
安全说明26-36-37/39
危险品运输编号1760
WGK Germany3
TSCAYes
危险等级8
包装类别III
海关编码29122990
存储类别10 - Combustible liquids
危险性类别Acute Tox. 4 Dermal
Acute Tox. 4 Inhalation
Acute Tox. 4 Oral
Eye Irrit. 2
Skin Irrit. 2
STOT SE 3
Acute Tox. 4 Inhalation
Acute Tox. 4 Oral
Eye Irrit. 2
Skin Irrit. 2
STOT SE 3
常见问题列表
用途
BETA-环柠檬醛是一种化学物质,是合成香料和类胡罗卜素等萜类化合物的重要中间体,如以BETA-环柠檬醛为原料合成二氢突厥酮、突厥酮(damascenone)、胡罗卜素等。制备方法
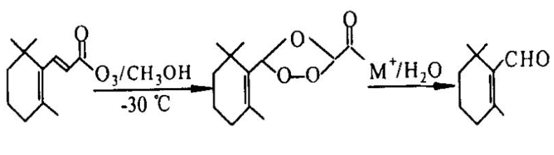
将紫罗兰酮与甲醇按1∶4~1∶5(质量比)比例,放入三口反应瓶中搅匀,开冷冻机打循环使反应温度在-30±5℃。使氧气通入臭氧发生器,将产生的臭气返入反应瓶中,返入臭氧量为 n(紫罗兰酮)∶n(臭氧)=1∶1.15~1∶1.50,反应4~6h。反应完成,在反应瓶 中,加入还原剂、酸及水搅匀,在-30℃~20℃反应0.5h,调温到20~25℃反应1h。反应结束后加入有机溶剂进行萃取、分离、回收有机溶剂得BETA-环柠檬醛粗产品,经真空精馏,得到一定纯度的BETA-环柠檬醛。
生物活性
β-Cyclocitral 是 β-胡萝卜素的挥发性氧化衍生物,是微囊藻特有的掠食性动物防御信号。β-Cyclocitral 是主要的挥发性萜类化合物之一,可以上调防御基因的表达,从而增强过量光照 (EL) 的适应性。β-Cyclocitral 是一种强大的驱虫剂。体外研究
β-Cyclocitral is derived from the catalytic breakdown of β-carotene, and evidence indicates that it is produced by the activation of a specific carotene oxygenase by all species of the bloom-forming cyanobacterium Microcystis. β-cyclocitral affects grazer behavior.
