促进剂二苯胍常用作噻唑类、秋兰姆类及次磺酰胺类促进剂的活性剂,与促进剂MBTS和 TMTD并用时可用于连续硫化,在氯丁橡胶中使用 时有增塑剂的作用,主要用于制造轮胎、胶板、鞋 底、硬质胶和厚橡胶制品。
[1]

二苯胍的性质与应用
二苯胍是稍有气味、有苦味、无毒的自色粉末。比重1.13,熔点147℃。它在170℃以上分解。易溶于丙酮、二氯甲烷,能溶于乙酸乙酯、苯、乙醇、四氯化碳等而不溶于水、汽油中。
二苯胍又称橡胶促进剂D,或促进剂DPG,它是由二苯硫脲、氧化铅、氢氧化钠与硫酸铵,在40~70℃条件下制成二苯胍硫酸盐,经提取、过滤及中和得半成品,再经干燥筛选即得促进剂DPG。二苯胍主要用作天然橡胶与合成橡胶的中速促进剂,常用作噻唑类秋兰姆及次磺酰类促进剂的活性剂,与促进剂的DM、TM、TD并用时,可用于连续硫化。在氯丁橡胶中有增塑剂和解塑剂的作用。二苯胍衍生物铬酪二苯胍是一种高效防锈剂。二苯胍还被用作塑料交联剂、示温材料、矿石浮选用助剂、涂料助剂、抛光材料助剂、金属分析试剂及建筑用助剂等。[2-3]
二苯胍的制备
二苯胍的合成工艺主要有两种,一种是采用二苯基硫脲法;氧气氧化法,另一种是采用氯氰法。因为涉及到氯化氰的毒性以及使用的限制,所以,国内还未采用氯氰法生产,传统采用的是二苯基硫脲法。但是,传统的方法工艺流程长,成本高,使用了氧化铅、二硫化碳对环境的影响较大;氧气氧化法工艺较先进,对于环保方面有所改善,但是生产的产品色泽偏黄或是偏灰,产品品质较差。氯氰法生产工艺简单,品质好,是一种较好的合成工艺。
氧化铅氧化工艺
此工艺是传统的生产工艺,具体过程是将二苯基硫脲、氨水、硫酸铵在40~70℃、于搅拌条件下用氧化铅氧化,得到二苯胍硫酸盐,经提取、过滤、和得半成品,再经水洗、干燥、筛选得成品。[5]

此工艺比较成熟,缺点是产率较低,副产物多,操作繁杂。

以氯化氰为原料的工艺
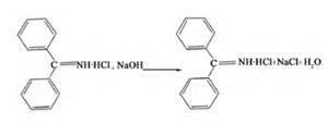
首先用盐酸、氰化钠(或氰化钾)与氯气反应制得氯化氰;然后将苯胺、水放在带有搅拌和蒸汽夹热套的高压釜内,在100℃下通入氯化氰气体,回流,得到二苯胝盐酸盐;再用氢氧化钠中和,得二苯胍;再经水洗、干燥、筛选,得成品。

该工艺的优点是收率高,已工业化生产多年,其缺点是对所用材质的要求较高,腐蚀性大,氯化氰又是剧毒气体,安全性差。[5]

贾荣荣等报道采用氯化氰与苯胺为原料合成二苯胍:向四口瓶内加入一定量的苯胺,溶剂,然后开始加热,加热到适当温度,开始通入一定比例的氯化氰气体。通气完毕,停 止反应。降温,除杂,加入氢氧化钠析晶,过滤,烘干得到白色产品。收率96%。[4]


氧气催化氧化工艺
氧气催化氧化工艺如下:用二苯基硫脲与氨和氧或含氧气体在有机溶剂中反应,催化剂用原子序数为21~30的元素或镧系元素或其盐类、氧化物、混合物。反应式如下:[5]

工艺如下

参考文献
[1] 沙德昌,薛香菊,刘彬,等.超高石灰铝法处理促进剂二苯胍生产废水[J].橡胶科技,2021,19(04):187-189.
[2] 王景明.胍及其衍生物在精细化工中的应用[J].天津化工,1997,(01):32-34.
[3] 龙立平.实验室合成二苯胍的最优条件[J].益阳师专学报,1990,(06):61-66+43.
[4] 贾荣荣,张艳章,李兴波,等.二苯胍的合成研究[J].山东化工,2016,45(15):6+8.
[5] 歧雨涝,樊云峰.二苯胍合成技术进展[J].河北化工,1994,(02):45-48.