研究背景
烷氧基胺盐酸盐是一类用途广泛且价格昂贵的有机合成中间体,该类化合物可用烷基胺基化试剂,在有机合成和新药生产中引入烷氧胺基基团到酮类化合物(特别是甾族化合物)。具体地,可用作药物头孢呋新侧链,农药苯草酮,烯草酮,稀禾定等除草剂生产的中间体,也可作新医药和新农药创制领域的中间体。在该类物质中,甲氧基胺盐酸盐和乙氧基胺盐酸盐是其中较为常见的两种代表性化合物,乙氧基胺盐酸盐的性状一般为白色或微黄晶体粉末、晶体或薄片,具有吸湿性,易溶于水,溶于乙醇[1]。

合成方法
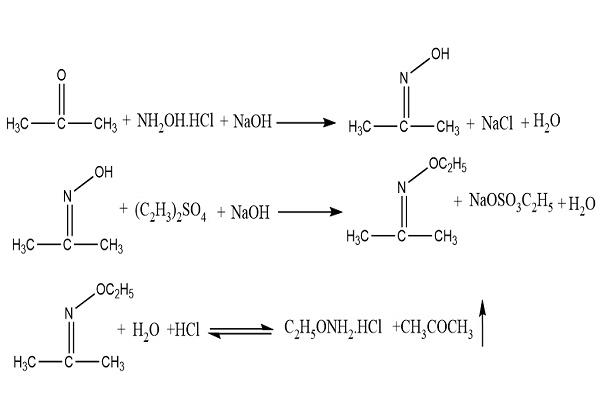
文献报道了一种三步反应合成乙氧基胺盐酸 盐的方法:采用盐酸羟胺和丙酮反应制备丙酮肟,经硫酸二乙酯乙基化,盐酸水解合成乙氧基胺盐酸盐。实验考察了反应温度,催化剂量,反应时间对乙基化反应的影响。 结果表明,在无催化剂条件下,25℃下反应6 h,中间体O-乙基丙酮肟收率87.6%(以丙酮肟计),产品总收率为66.7%(以盐酸羟胺计)[2]。

应用
除了在药物合成领域的应用,乙氧基胺盐酸盐还可用于分析检测领域用于甲醛含量检测。在高效液相色谱法分析过程中,乙氧基胺盐酸盐作为衍生剂,衍生产物在流动相中的溶解度大,不需经过萃取这一步骤,为检测甲醛提供了重要的技术支持。相比较其他甲醛含量测定方法,该方法前处理简单,检出限低,选择性好,灵敏度高,有效弥补了利用2,4-二硝基苯肼作为衍生剂测定甲醛含量存在的不足[3]。
在有机合成领域,乙氧基胺盐酸盐则可作为原料合成一些芳香共轭β-醛的席夫碱,制备过程步骤如下:(1)将芳香醛置于反应瓶,加丙酮搅拌溶解,于20-25℃滴加1N的氢氧化钠溶液室温反应,TLC检测反应终点,后以1N的盐酸调节pH=5-6,滤后二氯甲烷萃取。若为固体即用乙醇或乙酸乙酯重结晶,为液体即用柱层析分离。(2)将苯丙烯酮置入反应瓶加无水甲苯或THF,搅拌溶解加金属钠或钠氢,冰浴下0~5℃滴加甲酸乙酯,滴毕保温2h,室温反应过夜后抽滤,干燥后备用。(3)将(2)所得置反应瓶,加入乙醇,搅拌下分批加入与(2)所得等量的乙氧基胺盐酸盐,室温反应TLC检测反应终点,后抽滤,滤饼以乙醇洗,滤液减压蒸除溶剂,余物若为固体则用石油醚重结晶,若为液体则用柱层析分离[4]。
参考文献
[1]佚名.烷氧基胺盐酸盐合成探索[J].化工中间体导刊, 2005, 000(022):32.
[2]潘忠稳,李玉喜,夏岚.丙酮肟法合成乙氧基胺盐酸盐[J].精细化工中间体, 2007, 37(6):3.DOI:10.3969/j.issn.1009-9212.2007.06.005.
[3]赵景婵,王改玲,曹婷,等.一种应用于甲醛含量检测的乙氧基胺盐酸盐及其测定方法.2015.
[4]杜建.一些芳香共轭β-醛的席夫碱的制备方法:CN201010197243.0[P].