概述
邻甲氧基苯甲酰氯(o-Anisoyl chloride)别名2-甲氧基苯甲酰氯、邻茴香酰氯,是一种化学式为C8H7ClO2,分子量为170.59的有机化合物。邻甲氧基苯甲酰氯化学性质活泼,是一种重要的合成医药产品的中间体原料[1],属于酸性腐蚀品,常温下为浅黄色透明液体,可溶于苯、丙酮、乙醚,遇水反应放热并释放腐蚀性气体。

制备方法
碳化合物技术领报道了一种邻甲氧基苯甲酰氯的制备方法。具体地,以邻甲氧基苯甲酸为原料、固体光气-C2H4Cl2为酰氯化试剂、加入引发剂,于回流温度反应制得邻甲氧基苯甲酰氯。上述过程中,固体光气-C2H4Cl2溶液的物质的量浓度为2mol/L,邻甲氧基苯甲酸、引发剂和固体光气的投料摩尔比为1:0.04-0.06:0.31,溶剂二氯乙烷与邻甲氧基苯甲酸的质量比为2-4:1。该制备方法反应条件温和,工艺简单,易于操作,得到的产品纯度高、收率高,适合工业化生产[2]。
应用
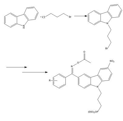
有机合成领域,由间苯二甲醚与邻甲氧基苯甲酰氯在特定波长的光照条件下,于0~80℃反应1~10小时,得到中间产物2,2',4-三甲氧基二苯甲酮;将所得中间产物2,2',4-三甲氧基二苯甲酮与脱甲基试剂进行选择性去甲基反应,反应温度40~120℃,时间5~16小时,停止反应后,水洗,分液,重结晶即得2,2'-二羟基-4-甲氧基二苯甲酮。该法反应能耗低,原料回收利用率较高,后处理较为简单,对环境污染小,符合绿色化学的发展[3]。此外,以咔唑,硝酸,1-溴-3-氯丙烷,亚磷酸二乙酯,邻甲氧基苯甲酰氯,盐酸羟胺,乙酸酐为原料,经过N-烷基化反应,取代反应,硝化反应,傅克反应,成肟和乙酰化反应六步反应可得光引发剂咔唑肟酯[4]。

配位化学领域,二茂铁与邻甲氧基苯甲酰氯反应生成邻甲氧基苯甲酰基二茂铁,再与一系列芳胺反应合成亚胺,最终可以还原为二茂铁氨基化合物[5]。
医药领域,1-甲氧基-2-甲氧甲基-3-(4-甲基戊基)苯(MMMB)是一种抗疱疹病毒药物的中间体。以邻甲氧基苯甲酰氯为原料,通过10步反应可以实现该化合物的合成,总收率为32.7%[6]。
参考文献
[1]不公告发明人.2-甲氧基苯甲酰氯的制备方法:CN201810874138.2[P].
[2]吴中华,张小朋,陈贵才,等.一种邻甲氧基苯甲酰氯的制备方法:CN201610056133.X[P].
[3]王志刚,王治国,胡林松,等.一种2,2′-二羟基-4-甲氧基二苯甲酮的合成方法:CN201410155450.8[P].
[4]王坤鹏,陈晨,尚家磊.一种光引发剂咔唑肟酯的制备方法:CN201710776552.5[P].
[5]蒋虹,陈维一,张雅文,等.二茂铁氨基化合物的合成[J].合成化学, 2004, 12(2):3.DOI:10.3969/j.issn.1005-1511.2004.02.019.
[6]方煜.增塑剂DEDB,EIMB及药物中间体MMMB的合成研究[D].河南工业大学,2012.