5,10-亚甲基四氢叶酸(非对映体混合物)的核心形式是5,10-亚甲基-(6R,S)-四氢叶酸,包含天然活性的(6R)型和非天然的(6S)型两种非对映异构体,它兼具特殊的理化性质,且在医药、生物研究等领域应用广泛。

制备方法[1]
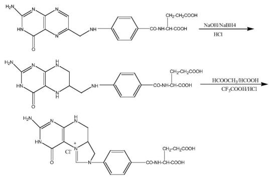
(1)叶酸还原成四氢叶酸:将30g叶酸,200g水放入1000ml四口瓶中,搅拌均匀,加入18%氢氧化钠溶液30g,使叶酸完全溶解;然后将30g硼氢化钠加入到100g水中,搅拌均匀,用恒压滴液漏斗缓慢加入到叶酸体系中,后升温至60℃,反应2h,后降温至0~10℃,用 浓盐酸调节ph为3~5,得类白色固体,抽滤,得到四氢叶酸固体32g。
(2)四氢叶酸甲酰化得到5,10‑亚甲基四氢叶酸盐酸盐:将步骤1得到的四氢叶酸固体加入70g水中,用稀盐酸调pH为1左右,使完全溶解,加入甲酸甲酯(含量≥95%,密度为0.974g/mL)2.6g,常温(20~25℃)反应1.5h,后升温至60℃,加入甲酸100g,三氟乙酸10g, 反应1h,50℃下‑0.097MPa旋蒸多余的甲酸1h,得到中间体5,10-亚甲基四氢叶酸(非对映体混合物),往浓缩液中加入0.5mol/L HCl溶液100g,常温搅拌2h,抽滤,得到5,10-亚甲基四氢叶酸(非对映体混合物)盐酸盐固体27.8g,通过液相检测5,10-亚甲基四氢叶酸(非对映体混合物)盐酸盐的纯度为96.9%(其色谱图结果参照图)。

有机应用
1、专利CN202210247880.7提供一种亚叶酸钙的制备方法,包括:首先将作为原料的叶酸还原得到还原产物四氢叶酸,然后四氢叶酸发生甲酰化反应得到5,10-亚甲基四氢叶酸(非对映体混合物),再与盐酸成盐为5,10‑亚甲基四氢叶酸盐酸盐,之后将5,10‑亚甲基四氢叶酸盐酸盐水解后再与钙盐生成亚叶酸钙;其中,在所述四氢叶酸发生甲酰化反应得到5,10-亚甲基四氢叶酸(非对映体混合物)中,在低温时加入甲酸甲酯与四氢叶 酸反应,然后升温加入甲酸,继续反应;本发明通过采用两种甲酰化试剂进行甲酰化反应,降低了反应温度,减少了甲酸用量及减压浓缩时间,提高了中间体5,10-亚甲基四氢叶酸(非对映体混合物)的纯度,进而提高了亚叶酸钙的质量[1]。
2、专利CN201510718571.3前期步骤可制备5,10-亚甲基四氢叶酸(非对映体混合物),后续经拆分得到左旋异构体。制备核心步骤为:在惰性气体保护下,用硼氢化钠还原叶酸,调pH 3-4析出并干燥得到四氢叶酸;再将四氢叶酸溶于含三氟乙酸的无水甲酸液中,经旋蒸、析晶等操作得到5,10-亚甲基四氢叶酸甲酸盐,此甲酸盐即为非对映体混合物形式。该方法强调惰性气体氛围全程保护,有效避免了产物氧化降解,为制备高纯度的非对映体混合物提供了工艺保障[2]。
参考文献
[1]河北冀衡药业股份有限公司. 一种亚叶酸钙的制备方法:CN202210247880.7[P]. 2022-06-07.
[2]天津药物研究院药业有限责任公司. 左旋5,10-亚甲基四氢叶酸的制备方法:CN201510718571.3[P]. 2016-03-16.