随着国家对农业生产种植结构的调整,对农药产品种类的需求也发生了变化。我国目前农药工业仍以杀虫剂为主,杀菌剂远不能满足现代农业生产的需要。烯唑醇是一种活性极高的三唑类广谱内吸性杀菌剂,1977年日本住友公司首先报道了它的生物活性,1980年正式推出该品种,目前已在全球30多个国家的40多种作物上获得登记并广泛应用,为三唑类杀菌剂销售量最大的品种之一。该产品具有活性高、持效期长、杀菌谱广等特点,是当前杀菌效果较理想的品种之一。
性质
烯唑醇,Diniconazole,商品名:病除净,化学名称:(E)-1-(2,4-二氯苯基)-4,4-二甲基-2-(1,2,4-三唑-1-基)-1-戊烯-3-醇,纯品为白色结晶固体,熔点134-156℃,25℃时蒸气压为4.9mPa,25℃时水中溶解度为4mg/l,己烷为700mg/kg,丙酮、甲醇为95g/kg,甲苯为14g/kg,溶于大多数有机溶剂,对光、热和潮湿稳定[1]。

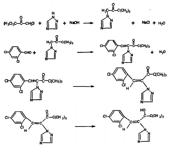
制备方法[1]
1.唑酮的制备
向反应瓶内加入一定配比的三唑、氢氧化钠和溶剂,在搅拌条件下升温至回流,将回流过程中反应生成水分出,待分出一定量的水后,将瓶内温度升温至100±5℃,保温1小时,降温,加入一定量的一氯频那酮,升温,保温反应4小时,降温、冷却、过滤,即得唑酮溶液。此步收率(以一氯频那酮计)>86.2%。
2.唑酮的纯化
向反应瓶中加入一定量的唑酮溶液,在搅拌条件下,滴入一定量的浓盐酸,搅拌1小时后冷却结晶,抽滤干燥。将一定量的滤饼、溶剂和稀碱液投入反应瓶中,中和萃取,升温至48±2°C,在搅拌条件下保温2小时,即得唑酮溶液。此步收率(以粗唑酮计)>90.1%。
3.混合烯酮的制备
将一定配比的唑酮溶液、2,4-二氯苯甲醛及催化剂加入到反应瓶中,升温回流,然后加入一定量的稀酸,在一定温度下搅拌50分钟,静止分层,将有机相减压脱掉溶剂4后,即得混合烯酮。此步收率(以精唑酮计)>88.7%。
4.(E)-烯酮甲醇溶液的制备
向反应瓶中加入一定量的混合烯酮溶液、硫酸及溴,在75±2℃搅拌反应4小时,冷却结晶,抽滤干燥。然后将一定量的滤饼、水、溶剂投入反应瓶中,在搅拌条件下升温,保温半小时后静止分层,上层有机相经减压脱溶后加甲醇溶液,即得(E)-烯酮甲醇溶液。此步收率(以混合烯酮计)>94.0%。
5.烯唑醇的制备
向反应瓶中加入一定量的(E)-烯酮甲醇溶液,升温,在搅拌条件下加入硼氢化钾,在30±19℃下保温反应4小时,经减压蒸掉溶剂,,冷却、抽滤干燥,即得产品烯唑醇。此步收率(以E-烯酮计)>96.0%。

参考文献
[1]李会芹,齐慧芹,李鹏,等. 杀菌剂烯唑醇合成技术研究[J]. 化工中间体,2009,5(2):29-31. DOI:10.3969/j.issn.1672-8114.2009.02.008.