背景技术
间苯二甲醚用作萘类染料及涂料和塑料的中间体,也用作肥皂、洗涤剂和油膏的香料;也可用作医药中间体;1,3‑二甲氧基苯也是合成杀螨剂苯螨特的中间体,还可用于制备紫外吸收剂UV‑9。该品是我国GB2760‑86规定允许使用的食用香料。
目前,工业上主要生产方法是间苯二酚与碱反应得到酚钠,其后再与硫酸二甲酯发生取代反应得到产品间苯二甲醚。该路线的反应条件较为温和,不需要催化剂;但是原料硫酸二甲酯为高毒物,安全隐患大,严重腐蚀反应设备,生产过程中产生大量的含酚、含盐废水和废固,污染比较严重,处理成本较高。随着国家对生态环境的重视,环保要求不断升级,企业面临关停风险,严重影响下游相关产业的健康发展。
传统的间苯二甲醚生产工艺是硫酸二甲酯工艺和甲醇硫酸工艺,硫酸二甲酯的生产过程不使用催化剂,技术含量较低;生产步骤较多,中间有分液过程,生产效率低;过程会产生大量废水和无机固废,受环保政策限制较大。甲醇硫酸工艺也同样存在相应的问题,除此之外硫酸属于强酸 ,易腐蚀设备,造成安全隐患,加大设备投资成本。
制备方法
按照质量百分比计,将14%BaF2、20%KF、33%Pt(NO3)2与33%Rb2CO3用于制备主催化剂,称取主催化剂质量8%的抗氧化剂264,将相应的五种组分加入到固体混合装置中,在室温条件下,搅拌速度为60r/min,搅拌时间为0.75h,得到催化剂,将混合好的催化剂装桶,备用。
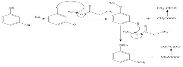
在2.5m3的反应釜中,将间苯二酚和碳酸二甲酯按照摩尔比为1:3,在催化剂上进行甲基化反应,催化剂用量为间苯二酚的1.1wt.%,搅拌速率为80r/min,反应温度为170℃,反应压力为3.5MPa,反应时间为5h。反应结束后,将混合液精馏提纯,间苯二甲醚收率为81.0%,纯度大于98.0%[1]。

参考文献
[1]陕西煤业化工技术研究院有限责任公司. 一种用于以间苯二酚与碳酸二甲酯为原料合成间苯二甲醚的催化剂的制备方法及应用:CN202211101551.8[P]. 2023-01-03.
