乌帕替尼杂质7,英文名为8-((3R,4S)-4-ethylpyrrolidin-3-yl)-3H-imidazo[1,2-a]pyrrolo[2,3-e]pyrazine,是药物分子乌帕替尼合成过程中杂质中的一种。乌帕替尼杂质7是药物分子乌帕替尼结构中酰胺基团脱除的衍生物,它可在适当条件下用于药物分子乌帕替尼的制备。
制备方法

图1 乌帕替尼杂质7的制备方法
在一个干燥的反应烧瓶中将乌帕替尼杂质7的苄氧羰基保护前体物质溶解于干燥的乙醇中,然后往其中缓慢地加入金属钯催化剂和三乙烯二胺。然后用氢气球将反应体系中的空气置换成氢气,所得的反应混合物在氢气氛围下搅拌反应过夜,反应结束后将反应混合物通过硅藻土进行过滤处理,所得的滤液在真空下进行浓缩处理,所得的剩余物通过硅胶柱层析法进行分离纯化即可得到目标产物分子乌帕替尼杂质7。[1]
制备乌帕替尼
乌帕替尼杂质7具有和药物分子乌帕替尼一样的骨架结构,它可在碱性条件下下和羰基二咪唑和有机胺类物质通过缩合反应制备药物分子乌帕替尼。

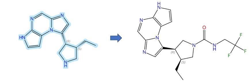
图2 乌帕替尼杂质7制备乌帕替尼的路线图
在0°C条件下,将三氟乙胺盐酸盐加入乌帕替尼杂质7的四氢呋喃悬浮液(10 mL)中。待反应体系均质化后,加入1,1'-硫代羰基二咪唑(0.29 g, 1.6 mmol)的二氯甲烷溶液(10 mL)。随后向体系中加入三乙胺的二氯甲烷溶液(10 mL)。将所得的反应混合物继续搅拌约20分钟,使反应体系缓慢升温至室温。持续搅拌约15小时后,往上述反应混合物中缓慢地加入饱和碳酸氢钠水溶液(30 mL)进行淬灭。分离有机相,经减压浓缩后,通过硅胶柱色谱纯化(二氯甲烷/乙酸乙酯梯度洗脱,乙酸乙酯体积分数20%-40%),获得药物分子乌帕替尼。[2]
参考文献
[1] 李新生, 一种JAK抑制剂的合成方法, 中国发明专利, 专利号: CN 109369659 A.
[2] Thirumalai rajan Srinivasan, improved process for the preparation of upadacitinib. United States Patent No. US2025/0074912 Al.