2-噻吩乙酰氯新闻专题

2-噻吩乙酰氯的合成及下游产品
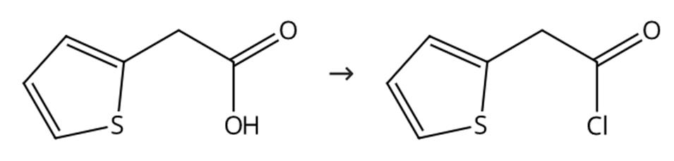
2-噻吩乙酰氯是一种重要的有机合成中间体,用于合成药物、农药和染料等。它可以由2?噻吩乙醇为原料合成得到2?噻吩乙酸,再和1,2?二氯乙烷、氯化亚砜合成得到。
2024/12/20 10:54:55
阅读量:610
2-噻吩乙酰氯的合成及其研究现状
2-噻吩乙酰氯在医药、化学和食品行业的作用是值得充分肯定的,而且随着新领域、新用途的开发,它将有着更广阔的应用前景。但由于我国对噻吩类化合物2-噻吩乙酰氯的研究起步较晚,各类噻吩化合物的研发及应用主要在国外。
2023/7/6 10:40:36
阅读量:962