Welcome to chemicalbook!
+1 (818) 612-2111
RFQ
Try our best to find the right business for you.
Do not miss inquiry messages Please log in to view all inquiry messages.

Welcome back!

Back ChemicalBook Home>CAS DataBase List>13053-81-1More Spectrum> 2-(ACETAMIDO)THIOPHENE(13053-81-1) 13C NMR

13053-81-1

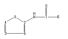
2-(ACETAMIDO)THIOPHENE(13053-81-1) 13C NMR

Molecular FormulaC6H7NOS

Molecular Weight141.19

InChIInChI=1S/C6H7NOS/c1-5(8)7-6-3-2-4-9-6/h2-4H,1H3,(H,7,8)

InChIKey FSATURPVOMZWBY-UHFFFAOYSA-N

SmilesC(NC1SC=CC=1)(=O)C

  • 2-(ACETAMIDO)THIOPHENE(13053-81-1) <sup>13</sup>C NMR


           ppm   Int.  Assign.
    166.72 197 1 138.96 158 2 123.87 974 3 118.04 1000 4 111.94 908 5 23.24 539 6 K.TAKAHASHI ET AL. BULL.CHEM.SOC.JPN., <58>, 1587 (1985)
    Spectral Code: 13C NMR : in CDCl3

  • 2-(ACETAMIDO)THIOPHENE(13053-81-1) <sup>13</sup>C NMR

    Spectral Code: IR : KBr disc

2-(ACETAMIDO)THIOPHENE(13053-81-1) 13C NMR Atlas of Related Products

×