Welcome to chemicalbook!
+1 (818) 612-2111
RFQ
Try our best to find the right business for you.
Do not miss inquiry messages Please log in to view all inquiry messages.

Welcome back!

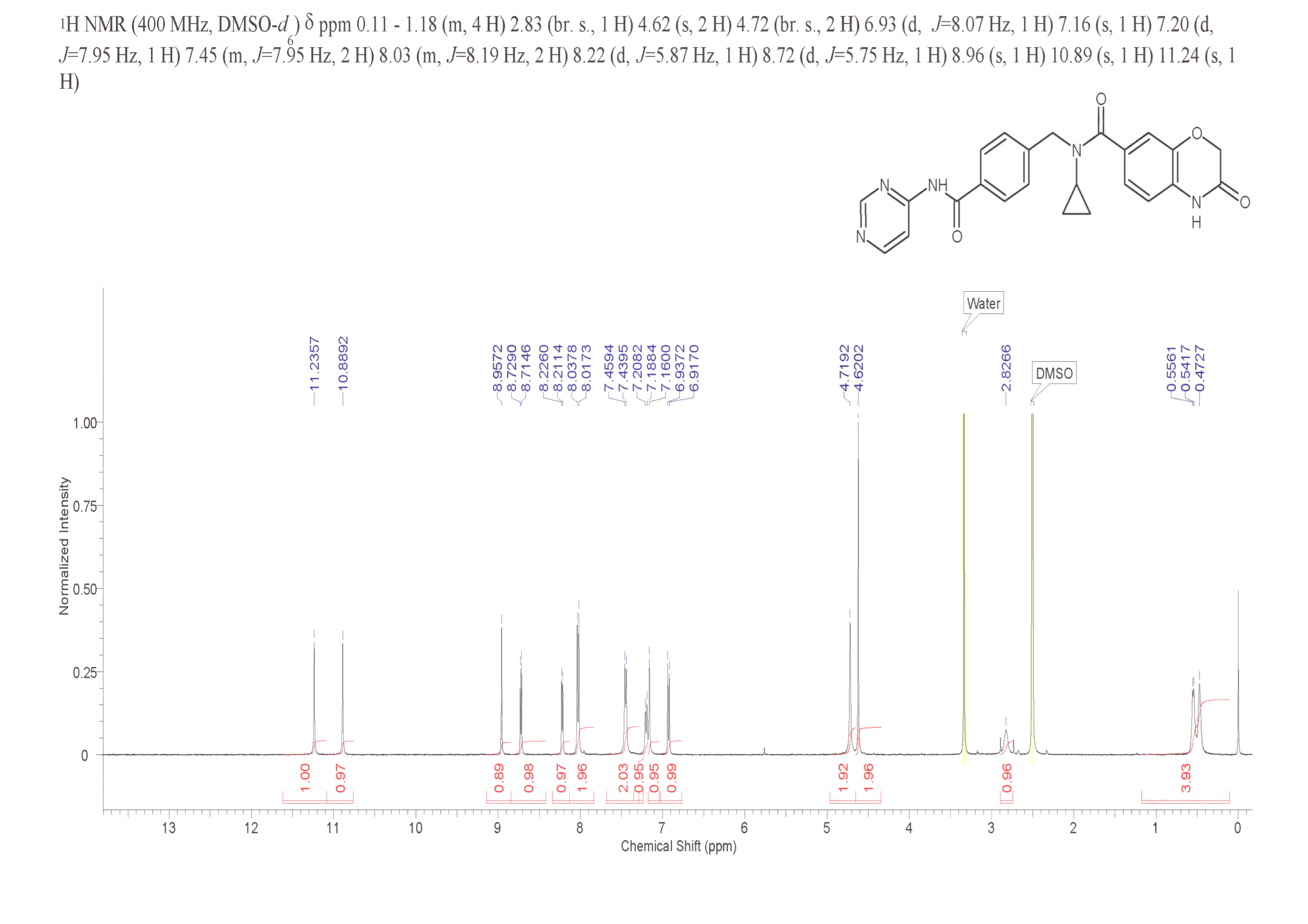
Back ChemicalBook Home>CAS DataBase List>2561494-77-5More Spectrum> 2H-1,4-Benzoxazine-7-carboxamide, N-cyclopropyl-3,4-dihydro-3-oxo-N-[[4-[(4-pyrimidinylamino)carbonyl]phenyl]methyl]-(2561494-77-5) 1H NMR

2561494-77-5

2H-1,4-Benzoxazine-7-carboxamide, N-cyclopropyl-3,4-dihydro-3-oxo-N-[[4-[(4-pyrimidinylamino)carbonyl]phenyl]methyl]-(2561494-77-5) 1H NMR

Molecular FormulaC24H21N5O4

Molecular Weight443.46

2H-1,4-Benzoxazine-7-carboxamide, N-cyclopropyl-3,4-dihydro-3-oxo-N-[[4-[(4-pyrimidinylamino)carbonyl]phenyl]methyl]-(2561494-77-5) 1H NMR Atlas of Related Products

×