Welcome to chemicalbook!
+1 (818) 612-2111
RFQ
Try our best to find the right business for you.
Do not miss inquiry messages Please log in to view all inquiry messages.

Welcome back!

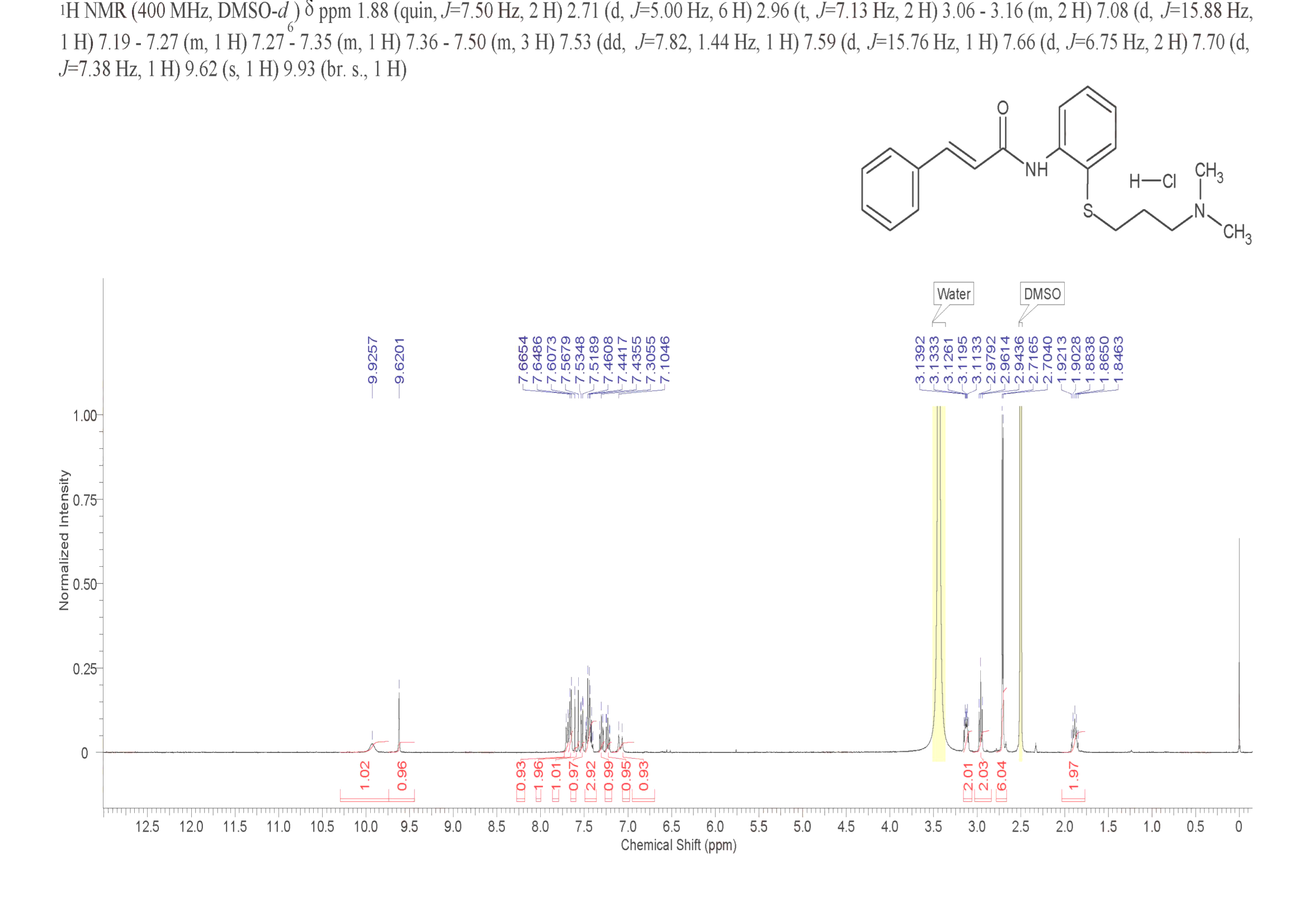
Back ChemicalBook Home>CAS DataBase List>54-84-2More Spectrum> CINANSERIN HYDROCHLORIDE(54-84-2) 1H NMR

54-84-2

CINANSERIN HYDROCHLORIDE(54-84-2) 1H NMR

Molecular FormulaC20H25ClN2OS

Molecular Weight376.94

CINANSERIN HYDROCHLORIDE(54-84-2) 1H NMR Atlas of Related Products

×