| Identification | More | [Name]
Adamantane | [CAS]
281-23-2 | [Synonyms]
ADAMANTANE HOMOADAMANTANE LABOTEST-BB LT00007844 TRICYCLO[3.3.1.13,7]DECANE TRICYCLO[3.3.1.1]DECANE TRICYCLODECANE [6]diadamantane 3,5,1,7-[1,2,3,4]butanetetraylnaphthalene,decahydro- Adamantan decahydro-3,5,1,7-[1,2,3,4]butanetetraylnaphthalene Tricyclo(3,3,1,1,3,7)-decane tricyclo(3.3.1.1(sup3,7))decane Tricyclo[3.3.1.13,7]decan diadamantane ADAMANTANE, 99+% Adamantane,98% Tricyclo(3.3.1.,7)decan ADAMANTANE WITH GC TRICYCLO[3.3.1.13.7]DECANE (ADAMANTANE) | [EINECS(EC#)]
206-001-4 | [Molecular Formula]
C10H16 | [MDL Number]
MFCD00074719 | [Molecular Weight]
136.23 | [MOL File]
281-23-2.mol |
| Chemical Properties | Back Directory | [Appearance]
slightly beige crystals | [Melting point ]
209-212 °C (subl.) (lit.) | [Boiling point ]
185.55°C (rough estimate) | [density ]
1,07 g/cm3 | [refractive index ]
1.5680 | [storage temp. ]
Store below +30°C. | [solubility ]
0.00021g/l slightly soluble | [form ]
Crystals or Crystalline Powder | [color ]
White to beige | [Specific Gravity]
1.07 | [Stability:]
Stable. Combustible. Incompatible with strong oxidizing agents. | [Water Solubility ]
Insoluble in water. | [Merck ]
14,149 | [BRN ]
1901173 | [Henry's Law Constant]
8.0×10-4 mol/(m3Pa) at 25℃, Roon et al. (2005) | [InChI]
1S/C10H16/c1-7-2-9-4-8(1)5-10(3-7)6-9/h7-10H,1-6H2/t7-,8+,9-,10+ | [InChIKey]
ORILYTVJVMAKLC-UHFFFAOYSA-N | [SMILES]
C1[C@H]2C[C@H]3C[C@@H]1C[C@@H](C2)C3 | [LogP]
4.240 | [CAS DataBase Reference]
281-23-2(CAS DataBase Reference) | [NIST Chemistry Reference]
Adamantane(281-23-2) | [EPA Substance Registry System]
281-23-2(EPA Substance) |
| Safety Data | Back Directory | [Symbol(GHS) ]
 GHS09 | [Signal word ]
Warning | [Hazard statements ]
H413 | [Precautionary statements ]
P273 | [Hazard Codes ]
Xi | [Risk Statements ]
R36/37/38:Irritating to eyes, respiratory system and skin . | [Safety Statements ]
S24/25:Avoid contact with skin and eyes . S36:Wear suitable protective clothing . S26:In case of contact with eyes, rinse immediately with plenty of water and seek medical advice . | [RIDADR ]
UN 3077 9 / PGIII | [WGK Germany ]
2
| [RTECS ]
YK0493000
| [Autoignition Temperature]
287 °C | [Hazard Note ]
Irritant | [TSCA ]
Yes | [REACH Registrations]
Active | [HS Code ]
29021990 | [Storage Class]
11 - Combustible Solids | [Hazard Classifications]
Aquatic Chronic 4 |
| Questions And Answer | Back Directory | [Discovery History]
In 1932, Landa et al (Czech) has discovered adamantane from the petroleum fractions in the oilfield of the South Moravia. In the following year, he has applied X-ray technology for confirming its structure.
Adamantane was first successfully synthesized by the chemist Vladimir Prelog (Yugoslavia) during the period of living in Switzerland in 1941. At that time, it was synthesized through stepwise synthesis method via twenties steps. Adamantane was a fairly expensive compound at that time.
In 1957, when chemist Paul Schleyer from Princeton chemist tried to use aluminum chloride as a catalyst for heating endo-type hydrogenated dicyclopentadiene and transform it into exo isomer, he unexpectedly found that the reaction product contains approximately 10% of adamantane as the byproduct. Paul Schleyer grasped this opportunity and increased the yield of adamantane through optimizing the conditions for increasing the yield of adamantane. Therefore, people can obtain adamantane from the cheap petrochemical products: cyclopentadiene dimer through a simple two steps reaction. Since then, the price of adamantane, like an avalanche fell down, became a very cheap and easily available compound.
Because of that the special cage structure of adamantane has caused great interest to the chemical community, this gave birth to the field of the caged compound chemistry. Later it was found that amantadine has antiviral activity, this had further attracted special attention from the medicine community. Now in the chemical community, the systematic research has around adamantane has already formed an independent discipline: adamantane chemistry.
1-Adamantyl group is bulky and stable substituent presented in some Persistent carbene. The famous Jacobson Asymmetric Diels-Alder reaction catalyst also contains an adamantly group.
| [Clustered compound]
Adamantane is a tricyclic aliphatic hydrocarbon, belonging to cluster-like compound and is naturally presented in the petroleum with the content being about four millionths. It is obtained through the reaction between dicyclopentadiene and hydrogen in the nickel catalyst and aluminum trichloride catalyst. It is a cyclic tetrahedral configuration containing 10 carbon atoms, 16 hydrogen atoms, forming a high symmetry cage-like compound. Because of its spatial arrangement of carbon atoms is generally the same as the basic unit of the diamond lattice, it gets its derived reputation name adamantane. Adamantane is characterized by high thermal stability, excellent lubricity, great pro-oil capacity and no taste as well as lower reactivity than benzene. The hydrogen in the bridgehead carbon atoms (1, 3, 5, 7) has high chemical activity and can have substitution reaction to generate many derivatives: 1-bromo-adamantane, 1-nitro-adamantane, 1-amino-adamantane hydrochloride and 1-adamantyl ethylamine hydrochloride (it can prevent the influenza caused by the A2 virus) and so on; it can also be oxidized to form diamond alcohol and can also be used to make specialty polymers, in particular optical and photosensitive material; it can also be used for gasoline production as well as the production of co-catalysts, lubricants and drugs. Moreover, it can also be used as agricultural chemicals and daily used chemicals and so on and is a good and novel organic material.
The above information is edited by the chemicalbook of Dai Xiongfeng.
| [Amantadine]
Amantadine, after entering into the brain tissue can promote the release of dopamine, or delay the metabolism of dopamine to play anti-parkinsonian effect and is anti-Parkinson drugs. Meanwhile, the mechanism of anti-Parkinson's disease is through promoting the synthesis and release of dopamine in the striatum and reducing the reuptake of neurons on dopamine together with anti-acetylcholine effect, thereby alleviating the symptoms of Parkinson's disease with excellent effect on the limb rigidity. Its effect is maintained generally not more than one year. Long-term application of such drugs is not recommended since it can have side effects on the cardiovascular.
Amantadine is the earliest antiviral agent for inhibiting influenza virus. The United States had ratified it as a preventive medicine during the flu epidemic in 1966 and had further confirmed it as a therapeutic agent on the basis of being as preventive drug in 1976. The efficacy and safety for this drug on the adult patients has been widely recognized. But the treatment dose and the dose for causing side effects are very close to each other. Moreover, the dosage and dosing schedules for the elderly and patients of chronic heart and lung disease or kidney disease is very difficult to determine, and therefore not yet widely accepted in clinical application. In Japan, amantadine has been always used as the therapeutic agent for Parkinson's disease and was only approved for the treatment of influenza A virus infection diseases until 1998.
Indications
It has significant efficacy in treating Tremor paralysis with good efficacy in alleviating tremor and rigidity with rapid onset. It exerts obvious effect at 48 hours after the treatment and the effect will reach peak after two weeks. The drug is subject to renal excretion in its prototype with the acidic urine being able to accelerate the excretion rate.
Asian A-II anti-influenza virus effect has an about 70% protection rate when being in contact with patients of this type of flu.
Its antipyretic effect is effective on a variety of inflammation, sepsis and viral pneumonia, when combined with antibiotics, the antipyretic effect is better than single administration of antibiotics.
| [Chemical Properties]
It appears as colorless crystals.
| [Uses]
Adamantane is a tetrahedral cyclic hydrocarbon containing 10 carbon atoms and 16 hydrogen atoms with its basic structure being the chair form of cyclohexane. It is a highly symmetric and very stable compound. Adamantane has the following characteristics: (1) very stable to light (2) good lubrication force; (3) highly lipophilic: (4) almost tasteless and is sublimate; (5) Although the reactivity is not as active as the reactivity of benzene, but synthesizing of its derivatives is very easy.
It is mainly used for the synthesis of special drugs of anti-cancer and anti-tumor. It can also be used to prepare advanced lubricants, the surfactants of photosensitive material, pesticides, catalysts and the like. The hydrogen atom of its bridgehead carbon atoms (i. e. 1, 3, 5, and 7) is easy to have substitution reaction. E.g. adamantane has reaction with an excess amount of bromine, generating 1-bromo-adamantane; reaction with nitrogen dioxide at 175 °C can yield 1-Polynitroadamantanes; oxidation between chromium trioxide and acetic acid can form a 1-adamantyl alcohol. Adamantane can also be obtained through the isomerization between tetrahydro-dicyclopentadiene in the presence of anhydrous aluminum chloride. Its derivative can be used as medicaments, e.g., 1-amino-adamantane hydrochloride and 1-adamantyl triethylamine hydrochloride can prevent the influenza caused by the virus A2.
Adamantane can be used for the synthesis of adamantane derivative. It can often be used as pharmaceutical intermediates as well as being used as the raw material of light-sensitive material, cosmetic and surfactant intermediates and also the epoxy curing agent.
| [Production method]
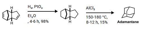
Adamantane is presented in the petroleum with the content being about four millionths. Adamantane can be obtained through via the catalyzed hydrogenation of dicyclopentadiene into tetrahydro-dicyclopentadiene and further isomerization in the presence of anhydrous aluminum chloride. The technical process is as follows: 1. catalytic hydrogenation; put the dicyclopentadiene and nickel catalyst into the autoclave, use nitrogen to displace the air in the autoclave. Then start the mixing hydrogen reaction. The pressure during the first half stage should be 0.5-0.7MPa while the latter stages pressure should be 1.5-2MPa with the temperature being 120 ℃ and continued for about 12h until no hydrogen absorption occurs any more. Stand for 3-4h and have stratification, apply sampling tests and the olefin content should be less than 2%. 2. Isomerization; add the Tetrahydro-dicyclopentadiene to a dry glass-lined tank, then add anhydrous aluminum chloride, heat at 35°C, stir and dissolve. Add drop wise of water within 3 h and gradually raise the temperature to 75 °C with being cooled to 40 °C after 5 h of reaction. Add water to destroy the aluminum trichloride and start steam distillation, collect the distilled adamantane, drain and wash with a small amount of acetone to give adamantane.
|
| Hazard Information | Back Directory | [Definition]
adamantane: A colourless crystallinehydrocarbon C10H16; m.p.269°C. It is found in certain petroleumfractions. The structure containsthree symmetrically fusedcyclohexane rings. | [Synthesis Reference(s)]
Journal of the American Chemical Society, 91, p. 6779, 1969 DOI: 10.1021/ja01052a041 The Journal of Organic Chemistry, 51, p. 3038, 1986 DOI: 10.1021/jo00365a034 | [Synthesis]
In 1957, Paul von R. Schleyer reported a facile two-step preparation of adamantane from the very readily available compound, dicyclopentadiene. endo-Trimethylenenorbornane (tetrahydrodicyclopentadiene), which can be prepared from dicyclopentadiene in essentially quantitative yield by hydrogenation was refluxed with 10 percent of its weight of AlBr3 or ,AlCl3 overnight. At the end of this time the products were distilled directly from the reaction pot, with no attempt at fractionation. The precipitation of adamantane was completed by cooling the distillate to Dry-Ice temperature; a yield of about 10 percent of crude adamantane could be obtained by filtration through a coarse filter. Additional I could be obtained by subjecting the filtrate to fractional distillation through an efficient column.
 | [Purification Methods]
Crystallise adamantane from acetone or cyclohexane, and sublime it in a vacuum below its melting point [Butler et al. J Chem Soc, Faraday Trans I 82 535 1986]. Adamantane is also purified by dissolving it in n-heptane (ca 10mL/g of adamantane) on a hot plate, adding activated charcoal (2g/100g of adamantane), and boiling for 30minutes, filtering the hot solution through a filter paper, concentrating the filtrate until crystallisation just starts, adding one quarter of the original volume of n-heptane, and allowing to cool slowly over a period of hours. The supernatant is decanted off and the crystals are dried in vacuo at 25o. [Prelog & Seiwerth Chem Ber 74 1769 1941, Schleyer et al. Org Synth Coll Vol V 16 1973, Walter et al. J Am Chem Soc 107 793 1985.] [Beilstein 5 III 393, 5 IV 469.] |
|
|