120923-37-7
中文名称
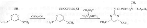
酰嘧磺隆
英文名称
Amidosulfuron
CAS
120923-37-7
分子式
C9H15N5O7S2
MDL 编号
MFCD01310639
分子量
369.37
MOL 文件
120923-37-7.mol
更新日期
2026/05/15 08:37:24
120923-37-7 结构式
基本信息
中文别名
1-(4,6-二甲氧基-2-嘧啶基)-3-(N-甲基甲磺酰胺磺酰基)-脲酰嘧磺隆
氨基嘧黄隆
英文别名
AMIDOSULFURONGRATIL
n-(((((4,6-dimethoxy-2-pyrimidinyl)amino)carbonyl)amino)sulfonyl)-n-methylmethanesulfonamide
Amidosulfuron PESTANAL
METHYLMETHANESULFONAMIDE
1-(4,6-Dimethoxypyrimidin-2-yl)-3-(N-mesyl-N-methylsulfamoyl)urea
所属类别
化学农药原药:有机氯杀虫剂物理化学性质
外观白色晶体,原药为细粉末,部分聚集成小团块,密度大约为1.5g/cm3(20℃), 25℃时的蒸汽压为2.2*10^(-5)Pa,微酸味。
外观白色晶体。
溶解度水9mg/l,正已烷0.001g/l,丙酮8.1g/l,甲苯0.256g/l,二氯甲烷6.9g/l, 甲醇0.872g/l,异丙醇0.099g/l,乙酸乙酯3.0g/l,比重在20℃约1.5mg/cm3。
熔点160-163°C
密度1.594±0.06 g/cm3(Predicted)
储存条件under inert gas (nitrogen or Argon) at 2-8°C
溶解度可溶于DMSO(轻微)、甲醇(轻微、加热)
酸度系数(pKa)0.12±0.40(Predicted)
形态neat
颜色白色至灰白色
分析方法液相色谱法.
Henry's Law Constant6.4×105 mol/(m3Pa) at 25℃, Maniere et al. (2011)
产品分类磺酰脲类
稳定性吸湿性,溶液不稳定
酰嘧磺隆(120923-37-7)同类产品砜嘧磺隆、酰嘧磺隆、啶嘧磺隆、氯吡嘧磺隆、四唑嘧磺隆、吡嘧磺隆.
主要应用agriculture
environmental
environmental
InChI1S/C9H15N5O7S2/c1-14(22(4,16)17)23(18,19)13-9(15)12-8-10-6(20-2)5-7(11-8)21-3/h5H,1-4H3,(H2,10,11,12,13,15)
InChIKeyCTTHWASMBLQOFR-UHFFFAOYSA-N
SMILESCOc1cc(OC)nc(NC(=O)NS(=O)(=O)N(C)S(C)(=O)=O)n1
LogP1.630
