65243-33-6
中文名称
头孢他美酯
英文名称
Cefetamet pivoxyl
CAS
65243-33-6
分子式
C20H25N5O7S2
分子量
511.58
MOL 文件
65243-33-6.mol
更新日期
2025/08/04 17:33:06
65243-33-6 结构式
基本信息
中文别名
头孢他美酯头孢他美新戊酯
头孢他美特戊酯
头孢他美酯杂质
头孢妥仑杂质3,头孢他美酯
英文别名
CEFERAMETPIVOXYLcefetamet pivoxyl
CEFETAMET PIVOXIL HCL
Pivaloyloxymethyl ester
Cefetamet pivoxyl USP/EP/BP
cefetamet ouvixuk hydrochloride
Cefetamet Pivoxil hdyrochloride
CefetaMet pivoxyl Hydrochloride
Cefditoren iMpurity 3, CefetaMet Pivoxil
(6R,7R)-7-[[(2Z)-2-(2-AMino-4-thiazolyl)-2-(MethoxyiMino)acetyl]aMino]-3-Methyl -8-oxo-5-thia-1-azabicyclo[4.2.0]oct-2-ene-2-carboxylic Acid
所属类别
原料药:头孢菌素类药物理化学性质
熔点158-160°C
密度1.55±0.1 g/cm3(Predicted)
储存条件-20°C 冰箱,在惰性气氛下稳定
酸度系数(pKa)8.21±0.60(Predicted)
InChIKeyDASYMCLQENWCJG-XUKDPADISA-N
SMILESN12[C@@]([H])([C@H](NC(/C(/C3=CSC(N)=N3)=N\OC)=O)C1=O)SCC(C)=C2C(OCOC(=O)C(C)(C)C)=O
常见问题列表
简介
性状:本品为薄膜衣片,除去包衣后呈白色、类白色,有引湿性。
本品是一种酯型的口服第三代头孢菌素。口服后在胃肠内酯酶的作用下迅速水解生成头孢他美发挥杀菌作用。本品对革兰阳性菌特别是肺炎链球菌、化脓性链球菌及革兰阴性菌,特别是大肠埃希菌、流感嗜血杆菌、淋病奈瑟球菌等,表现出强大的抗菌活力,尤对头孢菌素敏感性低的肠杆菌属、沙雷菌属等抗菌活性明显。对细菌产生的β-内酰胺酶稳定。临床适用敏感菌所引起的泌尿系统、下呼吸道系统及耳、鼻、喉部感染。口服:1次250mg,1日2次,7~10天为1疗程。服后可有胃肠道反应、皮肤反应及头晕、头痛、乏力等中枢神经系统反应,其他还可有牙龈炎、直肠炎、结膜炎、药物热等,偶有白细胞减少,血小板增多等血液系统反应。对本类药过敏者禁用。妊娠期妇女忌用。合成线路
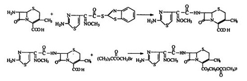
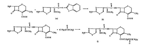
路线一:
路线二:

药理作用
本品为口服的第三代广谱头孢菌素类抗生素。口服后迅速吸收,被酯酶水解为头孢他美。本品对链球菌属(粪链球菌除外)、肺炎链球菌等革兰阳性菌;对大肠埃希菌、流感嗜血杆菌、克雷伯菌属、沙门菌属、志贺菌属、淋病奈瑟氏球菌等革兰阴性菌都有很强的抗菌活性,尤其对第一、二代头孢菌素敏感性低的沙雷菌属、吲哚阳性变形杆菌、肠杆菌属及柠檬酸菌属的抗菌活性明显。对卡他布兰汉球菌、淋病奈瑟菌等抗菌活性强,对梅毒螺旋体也有效。对细菌产生的β-内酰胺酶稳定。但本品对假单胞菌、支原体、衣原体、肠球菌等耐药性微生物无效。口服500 mg,Tmax为4 h,Cmax为4μg/ml,体内分布广,PPB为 22%,主要经肾脏排泄,T1/2为2.2 ~ 2.8 h。药物相互作用
抗酸剂,H2受体拮抗剂对本品的药代动力学无影响。目前尚未见到本品对实验室检测值和/或方法有影响的报道,也未观察到伴随利尿药治疗的患者在使用本品时对肾功能的损伤。药代动力学
本品单一剂量和多剂量的药代动力学参数基本一致。本品口服后,经过肠黏膜或首次经过肝脏时盐酸头孢他美酯被迅速代谢,在体内转变为头孢他美而发挥作用。本品随食物口服后,平均约55%的剂量转变为头孢他美。口服本品500mg后3~4小时,血药浓度达峰值(4.1±0.7)mg/L,分布容积为0.29L/kg,与细胞外水平一致。约22%头孢他美与血清蛋白结合。年龄、肾脏及肝脏疾病对盐酸头孢他美酯的生物利用度无影响。抗酸剂(镁、铝、氢氧化物等)或雷尼替丁不改变本品生物利用度。本品90%以头孢他美形式随尿液排出,清除半衰期为2~3小时。肾衰竭患者,头孢他美的清除率同肾功能成正比。适应症
本品适用于敏感菌引起的下列感染:1.耳、鼻、喉部感染,如中耳炎、鼻窦炎、咽炎、扁桃体炎等。
2.下呼吸道感染,如慢性支气管炎急性发作、急性气管炎、急性支气管炎等。
3.泌尿系统感染,如非复杂性尿路感染、复杂性尿路感染(包括肾盂肾炎)、男性急性淋球菌性尿道炎等。
不良反应
1.消化系统:胃肠道功能紊乱,如:腹泻、恶心、呕吐。偶有假膜性肠炎、腹胀、胃灼热、腹部不适、血中胆红素升高、氨基转移酶一过性升高等。2.皮肤:偶有出现瘙痒、局部浮肿、紫癜、湿疹、皮疹等。
3.中枢神经系统:偶有出现头痛、眩晕、衰弱、疲劳感等。
4.血液系统:偶有白细胞减少、嗜酸性粒细胞增多、血小板增多等,偶见中性粒细胞缺乏、胆红素血症及血钾降低均为一过性反应。
5.其他罕见的反应有:齿龈炎、直肠炎、结膜炎、药物热等。
注意事项
1.对青霉素类药物过敏者慎用。2.若发生严重过敏反应,应立即停药,并紧急治疗。
3.在使用本品期间,由于肠道微生物的改变,可能导致假膜性肠炎。若发生假膜性肠炎,应积极治疗(推荐使用万古毒素)。
4.本品应放到儿童触及不到的地方。
5.若过量服用,发生严重反应,应洗胃,并采取对应治疗。
6. 对头孢菌素类药物过敏者禁用。
7.饭后服用比空腹服用吸收好。
8.肾功能损害患者应减少剂量。
9.对β-内酰胺类抗生素过敏者慎用。
10.对本品过敏者禁用。
11.由于缺乏有关人类胎儿的临床数据,妇女妊娠期间,不推荐使用本品。若有对该药敏感的微生物严重感染时,必须充分权衡利弊。
12.在乳汁中尚未发现本品的代谢物。
13.本品对新生儿的有效性和安全性尚无可靠的临床数据。
参考资料
1.http://baike.baidu.com/link?url=f-x7UUm9vGhgwh9lpkB9WdyOj14xKNGq22aHiIHVP9vLPiMD5T8BCAyYu4IBhFlG-33OYnIHkt8GpyCQh0okSq2. 头孢他美酯-常用抗生素药物治疗学-中国工具书网络出版总库.htm
3. 头孢他美酯-袖珍新特药手册-中国工具书网络出版总库.htm
4. 头孢他美酯-最新药物手册-中国工具书网络出版总库.htm
5. Luo Xirong. An experimental study on synthesis of cefetamet Pivoxil[J]. Journal of Guiyang medical college, 2006,31(5):403-405.
6. Wang Yuyuan. Research on synthesis of Cefetamet Pivoxil[J].Hebei Chem.2004,6:44-45.
7. Li Huande. Pharmacokinetics of cefetamet in healthy volunteers[J]. Chin Pham J, 2001,36(7): 467-469.