93697-74-6
93697-74-6 结构式
基本信息
吡嘧磺隆
吡嘧黄隆
5-(3-(4,6-二甲氧基嘧啶-2-基)脲基磺酰基)-1-甲基吡啶-4-羧酸乙酯PY
5-(3-(4,6-二甲氧基嘧啶-2-基)脲基磺酰基)-1-甲基吡唑-4-羧酸乙酯
5-(4,6-二甲氧基嘧啶基-2-氨基甲酰氨磺酰)-1-甲基吡唑基-4-乙基甲酸酯
吡啶磺隆
AGREEN
AGREEN(R)
BILLY
Ethyl 5-(((((4,6-dimethoxy-2-pyrimidinyl)amino)carbonyl)amino)sulfonyl)-1-methyl-1H-pyrazole-4-carboxylate
ETHYL 5-[(4,6-DIMETHOXY-2-PYRIMIDINYL)AMINOCARBONYLAMINOSULFONYL]-1-METHYL-1H-PYRAZOLE-4-CARBOXYLATE
ETHYL 5-(4,6-DIMETHOXYPYRIMIDIN-2-YL-CARBAMOYLSULFAMOYL)-1-METHYLPYRAZOLE-4-CARBOXYLATE
nc-311
PYRAZOSULFURON-ETHYL
SIRIUS
SIRIUS(R)
1h-pyrazole-4-carboxylicacid,5-(((((4,6-dimethoxy-2-pyrimidinyl)amino)carbony
ethyl5-(4,6-dimethoxypyrimidin-2-ylcarbamoylsulfamoyl)-1-methylpyrazole-4-ca
5-[[[[(4,6-DIMETHOXY-2-PYRIMIDINYL)AMINO]CARBONYL]AMINO]SULFONYL]-1-METHYL-1H-PYRAZOLE-4-CARBOXYLIC ACID ETHYL ESTER
1H-Pyrazole-4-carboxylic acid, 5-(4,6-dimethoxy-2-pyrimidinyl)aminocarbonylaminosulfonyl-1-methyl-, ethyl ester
pyrazosulfuron-ethyl (bsi, draft e-iso, draft f-iso)
PYRAZONSULFURON-ETHYL
5-(4,6-Dimethoxy-2-pyrimidinylaminocarbonylsulfamoyl)-1-methyl-1H-pyrazole-4-carboxylic acid ethyl ester
5-[3-(4,6-Dimethoxy-2-pyrimidinyl)ureidosulfonyl]-1-methyl-1H-pyrazole-4-carboxylic acid ethyl ester
物理化学性质
environmental
安全数据
常见问题列表
吡密磺隆(pyrazosulfuron-ethyl),商品名称Act、Agreen、Apiro Max、Apiro Star、Pyrazosun,Sirius、SiriusDash、Sparkstar G。其他名称 Kecaoshen、Pilarice、Saathi、Star、草克星、草灭星、草威、韩乐星、水星、西力土、一克净。是由日本日产公司开发的磺酰脲类除草剂。
适宜作物:适用于水稻秧田、直播田、移栽田、抛秧田。不同水稻品种对吡嘧磺隆的耐药性有差异,但在正常条件下使用对水稻安全。若稻田漏水或用药量过高,水稻生长可能会受到暂时的抑制,但能很快恢复生长,对产量无影响。其虽对水稻安全,但应尽量避免在晚稻如糯米芽期使用,以免产生药害。
防除对象:一年生或多年生阔叶杂草、莎草科及部分禾本科杂草如稗草、稻李氏禾、水莎草、异型莎草、鸭舌草、牛毛毡、狼把草、雨久花、窄叶泽泻、泽泻、矮慈姑、野慈姑、眼子菜、节节菜、萤蔺、紫萍、浮萍、浮生水马齿、水芹、小茨藻、三萼沟繁缕等。
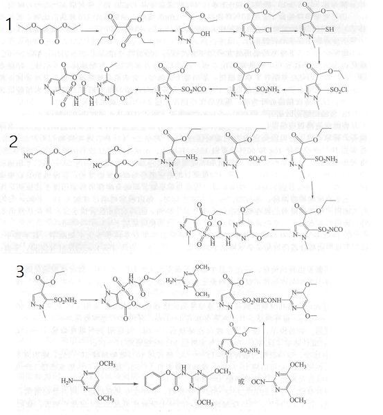
吡嘧磺隆的合成方法有很多。例如1.以丙二酸二乙酯与甲基肼为原料,经反应即得目的物。2.以氰乙酸乙酯与甲基肼为原料,经反应得目的物。3。以磺酰胺为原料也可得吡嘧磺隆。
大、小鼠急性经口LD50均≥5000mg/kg,大鼠急性经皮LD50>2000mg/kg,大鼠急性吸入LC50>3.9mg/L空气。对兔皮肤和眼睛无刺激性作用。对豚鼠皮肤无致敏性。小鼠 NOEL为4.3mg/(kg ·d)(78周)。ADI值0.043mg/(kg ·d)。Ames试验无致突变性,对大鼠和兔子无致畸性。
山齿鹑急性经口LD50>2250mg/kg。虹鳟鱼和大翻车鱼LC50(96h)>180mg/L,鲤鱼LC50(48h)>30mg/L。水蚤EC50(48h)700mg/L。蜜蜂LD50(接触)>100ug/只。
(1)大鼠进食吡嘧磺隆48h后,80%的吡嘧磺隆以尿和粪便的形式代谢掉。主要的代谢反应是甲氧基的脱甲基化作用。
(2)在土壤中DT50<15d,在 pH7的缓冲溶液中、水稻田和河流中,DT50为28d。
Pyrazosulfuron-ethyl inhibited biomass production in Rhodopseudomonas palustris PSB-S, altered cell morphology, suppressed flagella formation, and reduced pigment biosynthesis through significant suppression of carotenoids biosynthesis.
