[1S-(1α,3aβ,4α,8aβ)]-Decahydro-4,8,8-trimethyl-9-methylen-1,4-methanoazulen
|
|
|
- CAS-Nr.
- 475-20-7
- Bezeichnung:
- [1S-(1α,3aβ,4α,8aβ)]-Decahydro-4,8,8-trimethyl-9-methylen-1,4-methanoazulen
- Englisch Name:
- (+)-LONGIFOLENE
- Synonyma:
- LONGIFOLENE;Junipene;D-longifolene;Junipen;Longifolen;1,4-METHANOAZULENE,DECAHYDRO-;1,4-Methanoazulene, decahydro-4,8,8-trimethyl-9-methylene-;Kuromatsuen;Kuromatsuene;a-Longifolene
- CBNumber:
- CB8412009
- Summenformel:
- C15H24
- Molgewicht:
- 204.35
- MOL-Datei:
- 475-20-7.mol
|
[1S-(1α,3aβ,4α,8aβ)]-Decahydro-4,8,8-trimethyl-9-methylen-1,4-methanoazulen Eigenschaften
- alpha
- D18 +42.73°
- Siedepunkt:
- 254 °C706 mm Hg(lit.)
- Dichte
- 0.928 g/mL at 25 °C(lit.)
- Dampfdruck
- 5.3Pa at 24℃
- Brechungsindex
- n20/D 1.504(lit.)
- Flammpunkt:
- 98 °C
- storage temp.
- 2-8°C
- Löslichkeit
- Chloroform (Slightly), Ethyl Acetate (Slightly), Methanol (Sparingly)
- Aggregatzustand
- Oil
- Farbe
- Colourless to Pale Yellow
- Geruch (Odor)
- at 100.00 %. sweet woody rose medical fir needle
- Geruchsart
- woody
- Optische Rotation
- +44.225 (c 4.6, CHCl3)
- Wasserlöslichkeit
- 7.9mg/L at 24℃
- Merck
- 13,5588
- Stabilität:
- Light Sensitive
- LogP
- 5 at 25℃
- CAS Datenbank
- 475-20-7(CAS DataBase Reference)
- EPA chemische Informationen
- Longifolene (475-20-7)
Sicherheit
- Risiko- und Sicherheitserklärung
- Gefahreninformationscode (GHS)
| RIDADR |
UN1230 - class 3 - PG 2 - Methanol, solution |
|
|
| WGK Germany |
2 |
|
|
| RTECS-Nr. |
PB7724500 |
|
|
| F |
8-10-23 |
|
|
| HS Code |
29021990 |
|
|
| Bildanzeige (GHS) |
 
|
| Alarmwort |
Warnung |
| Gefahrenhinweise |
| Code |
Gefahrenhinweise |
Gefahrenklasse |
Abteilung |
Alarmwort |
Symbol |
P-Code |
| H304 |
Kann bei Verschlucken und Eindringen in die Atemwege tödlich sein. |
Aspirationsgefahr |
Kategorie 1 |
Achtung |
src="/GHS08.jpg" width="20" height="20" /> |
|
| H317 |
Kann allergische Hautreaktionen verursachen. |
Sensibilisierung der Haut |
Kategorie 1A |
Warnung |
src="/GHS07.jpg" width="20" height="20" /> |
P261, P272, P280, P302+P352,P333+P313, P321, P363, P501 |
| H410 |
Sehr giftig für Wasserorganismen mit langfristiger Wirkung. |
Langfristig (chronisch) gewässergefährdend |
Kategorie 1 |
Warnung |
src="/GHS09.jpg" width="20" height="20" /> |
P273, P391, P501 |
|
| Sicherheit |
| P261 |
Einatmen von Staub vermeiden. |
| P272 |
Kontaminierte Arbeitskleidung nicht außerhalb des Arbeitsplatzes tragen. |
| P273 |
Freisetzung in die Umwelt vermeiden. |
| P280 |
Schutzhandschuhe/Schutzkleidung/Augenschutz tragen. |
| P302+P352 |
BEI BERÜHRUNG MIT DER HAUT: Mit viel Wasser/... (Hersteller kann, falls zweckmäßig, ein Reinigungsmittel angeben oder, wenn Wasser eindeutig ungeeignet ist, ein alternatives Mittel empfehlen) waschen. |
| P321 |
Besondere Behandlung |
| P333+P313 |
Bei Hautreizung oder -ausschlag: Ärztlichen Rat einholen/ärztliche Hilfe hinzuziehen. |
| P363 |
Kontaminierte Kleidung vor erneutem Tragen waschen. |
| P391 |
Verschüttete Mengen aufnehmen. |
| P501 |
Inhalt/Behälter ... (Entsorgungsvorschriften vom Hersteller anzugeben) zuführen. |
|
[1S-(1α,3aβ,4α,8aβ)]-Decahydro-4,8,8-trimethyl-9-methylen-1,4-methanoazulen Chemische Eigenschaften,Einsatz,Produktion Methoden
Vorbereitung Methode
Longifolene is obtained by distillation, e.g.,
Indian turpentine.
Synthese
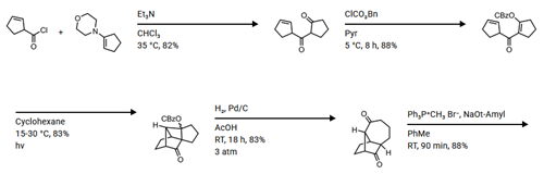
In 1978, Wolfgang Oppolzer reported a new and efficient total synthesis of (+)-LONGIFOLENE[1]

[1S-(1α,3aβ,4α,8aβ)]-Decahydro-4,8,8-trimethyl-9-methylen-1,4-methanoazulen Upstream-Materialien And Downstream Produkte
Upstream-Materialien
Downstream Produkte
[1S-(1α,3aβ,4α,8aβ)]-Decahydro-4,8,8-trimethyl-9-methylen-1,4-methanoazulen Anbieter Lieferant Produzent Hersteller Vertrieb Händler.
Global( 228)Lieferanten
475-20-7([1S-(1α,3aβ,4α,8aβ)]-Decahydro-4,8,8-trimethyl-9-methylen-1,4-methanoazulen)Verwandte Suche:
p-Cymol
7-Methyl-3-methylenocta-1,6-dien
Dipenten
Acrylnitril
p-Xylol
(+)-Pin-2(3)-en
1,3,4,6,7,8a-Hexahydro-1,1,5,5-tetramethyl-2H-2,4a-methanonaphthalin-8(5H)-on
(2α,4aα,8α)-Hexahydro-1,1,5,5-tetramethyl-2H-2,4a-methanonaphthalin-8(5H)-on
Ameisensure, Reaktionsprodukte mit Bortrifluorid und [1S-(1α,3aβ,4α,8aβ)]-Decahydro-4,8,8-trimethyl-9-methylen-1,4-methanoazulen
(2S)-1,3,4,5,6,7-Hexahydro-1,1,5,5-tetramethyl-2H-2,4a-methanonaphthalin
[1S-(1α,3aβ,4α,8aβ)]-Decahydro-4,8,8-trimethyl-9-methylen-1,4-methanoazulen
Methylencyclopentan
[1aR-(1aα,4aα,7α,8aS*)]-Octahydro-4,4,8,8-tetramethyl-4a,7-methano-4aH-naphth[1,8a-b]oxiren
- Kuromatsuen
- Kuromatsuene
- (+)-LONGIFOLENE, 98+%
- C15 H24, 1,4-Methanoazulene, decahydro-4,8,8-trimethyl-9-methylene- [Longifolene:terpene]
- 1,4-Methanoazulene,decahyd
- a-Longifolene
- (+)-LONGIFOLENE
- LONGIFOLENE, (+)-
- (1R,2S,7S,9S)-3,3,7-TRIMETHYL-8-METHYLENETRICYCLO[5.4.0.0(2.9)]UNDECANE
- LONGIFOLENE/8A-BETA))-4-ALPHA
- (+)-LONGIFOLENE WITH GC
- LONGIFOLENE DISTILLED
- [1S-(1α,3aβ,4α,8aβ)]-Decahydro-4,8,8-trimethyl-9-methylene-1,4-methanoazulene, (1R,2S,7S,9S)-3,3,7-Trimethyl-8-methylenetricyclo[5.4.0.02.9]undecane
- (1S,3aα,8aα)-Decahydro-4,8,8-trimethyl-9-methylene-1,4β-methanoazulene
- (1S,3aα,8aα)-Decahydro-4,8,8-trimethyl-9-methylene-1β,4β-methanoazulene
- [1S-(1a,3ab,4a,8ab)]-Decahydro-4,8,8-trimethyl-9-methylene-1,4-methanoazulene
- (+)-Longifolen
- (+)-Longofolene
- [1S-(1alpha,3abeta,4alpha,8abeta)]-decahydro-4,8,8-trimethyl-9-methylene-1,4-Methanoazulene
- [1S-(1α,3aβ,4α,8aβ)]-decahydro-9-methylene-4,8,8-trimethyl-1,4-methanoazulene
- 1,4-Methanoazulene, decahydro-4,8,8-trimethyl-9-methylene-, (1S,3aR,4S,8aS)-(+)-
- 1,4-methanoazulene,decahydro-4,8,8-trimethyl-9-methylene-,(1s,3ar,4s,8as)-(
- 1,4-methanoazulene,decahydro-4,8,8-trimethyl-9-methylene-,(1S,3aR,4S,8aS)-(+)-
- 1,4-Methanoazulene,decahydro-4,8,8-trimethyl-9-methylene-,[1S-(1.alpha.,3a.beta.,4.alpha.,8a.beta.)]-
- 1,4-methanoazulene,decahydro-4,8,8-trimethyl-9-methylene-,[1s-(1alpha,3abet
- 1,4-methanoazulene,decahydro-9-methylene-4,8,8-trimethyl-,(1s-(1-alpha,3a-bet
- 4-Methanoazulene,decahydro-4,8,8-trimethyl-9-methylene-,[1S-(1.alpha.,3a.beta.,4.alpha.,8a.beta.)]1
- 4-Methanoazulene,decahydro-4,8,8-trimethyl-9-methylene-1
- 8a-beta))-4-alpha
- 8abeta)]-4alpha
- Decahydro-4,8,8-trimethyl-9-methylene-1,4-methanoazulene
- Longifolene solution
- (+)-LONGIFOLENE 475-20-7
- (1S,3aR,4S,8aR)-4,8,8-trimethyl-9-methylidenedecahydro-1,4-methanoazulene
- (+)-LONGIFOLENE USP/EP/BP
- Longifolene (>75%)
- (+)-LONGIFOLENEM
- (1S,3aR,4S,8aS)-4,8,8-Trimethyl-9-methylenedecahydro-1,4-methanoazulene
- (+)-LOChemicalbookNGIFOLENE
- D-longifolene
- Junipen
- Junipene
- Longifolen
- 1,4-METHANOAZULENE,DECAHYDRO-
- LONGIFOLENE
- 1,4-Methanoazulene, decahydro-4,8,8-trimethyl-9-methylene-
- (+)-Longifolene (AS)
- ()-Longifolene
- Longifolene(+)-(AS)
- (+)-Longifolene-RM
- [1S-(1α,3aβ,4α,8aβ)]-decahydro-4,8,8-trimethyl-9-methylene-1,4-methanoazulene
- (+)-Longifolen
- (+)-longifolene
- 475-20-7
- Chiral Building Blocks
- Asymmetric Synthesis
- Complex Molecules
- Pharmaceutical Raw Materials