背景及概述
5,6-二甲基苯并咪唑为白色固体,在维生素B12发酵培养基中加入5,6-二甲基苯并咪唑可明显提高发酵单位。5,6-二甲基苯并咪唑的制备主要以3,4-二甲基苯胺为原料,经过化学合成方法制备。本文简述其制备工艺及应用研究。

图1 5,6-二甲基苯并咪唑性状图
应用
5,6-二甲基苯并咪唑除了作为维生素B12发酵培养基中的添加剂,近年来有了新的应用。5,6-二甲基苯并咪唑与四水合醋酸钴合成金属有机框架,经高温碳化后得到具有咪唑结构的金属有机框架材料,作为超级电容器电极具有良好应用前景;作为原料合成N-烷基取代吲哚-咪唑类盐类化合物,具有良好的抗肿瘤活性;作为原料合成新型二氢叶酸还原酶抑制剂并进行了抗菌效果与酶选择性的设计与优化。
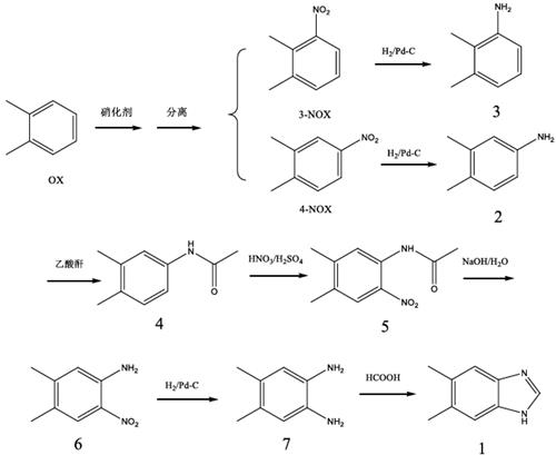
制备
参考文献[1]报道,以3,4-二甲基苯胺为原料,经乙酰化、硝化制得重要中间体4,5-二甲基-2-硝基乙酰苯胺(中间体-4),再经水解、氢化还原、环合制得5,6-二甲基苯并咪唑。

图2 5,6-二甲基苯并咪唑合成路线图
硝化后处理所得粗品含有目标产物、副产物异构体及杂质,使用乙酸乙酯-环己烷重结晶所得中间体-4收率68~71%,纯度98.5%以上,收率纯度均较好。环合所得粗产品颜色为淡黄色至棕黄色,利用活性炭脱色可明显改善产品颜色,总收率57~60%,纯度99%以上。
另外,工艺进行了放大的产业化制备,实现远程控制与自动化生产,其中关键硝化步骤在低温下进行,氢化还原在低压条件下顺利完成,生产过程安全、环保。对工艺的稳定性与可行性进行验证,收率57~60%,纯度99%以上。
安全信息
5,6-二甲基苯并咪唑在正常使用条件下一般不具有明显的毒性。但在使用过程中,应避免吸入粉尘和接触皮肤等,以防过敏反应。在储存和处理时,要保持室温,避免与氧化剂接触。
参考文献
[1]黄玮.5,6-二甲基苯并咪唑合成工艺研究.[硕士论文]药学河北科技大学.2022.