(R)-1-N-Boc-2-甲基哌嗪是含手性中心的哌嗪类衍生物,常温下为白色至类白色结晶性固体,无明显异味,纯度≥98%时晶体颗粒均匀,无肉眼可见杂质。不溶于水,易溶于极性有机溶剂,可溶于乙酸乙酯,微溶于正己烷等非极性溶剂。

合成方法
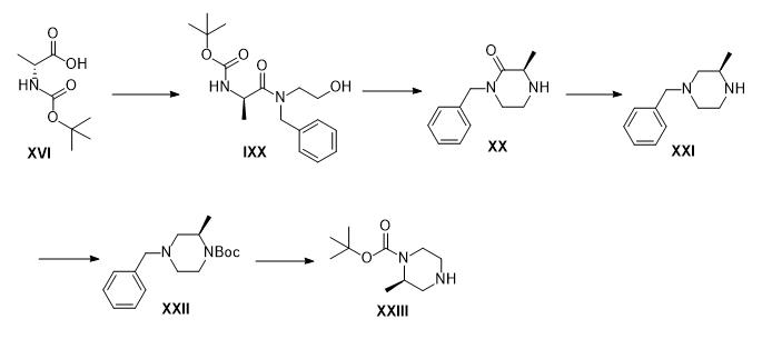
步骤1:1-N-苄基-1-[N-[(1,1-二甲基乙氧基)羰基]-D-丙氨酰]氨基-2-乙醇(IXX)
将CDI(6.88g)加到BOC-(D)-丙氨酸(XVI,8.00g)和THF(128ml)的混合物中。混合物在20-25°C搅拌1小时,然后加入N-苄基乙酰胺(6.66g)和THF(20ml)的混合物。混合物在20-25℃搅拌16小时然后浓缩。用快速色谱法(硅胶;乙酸乙酯/己烷(1.5/1))纯化得到酰胺(IXX)。
步骤2:1-苄基-(3R)-甲基哌嗪-2-酮(XX)
在0°C将三氟乙酸(50ml)加到酰胺(IXX,11.1g)和二氯甲烷(100ml)的混合物中。混合物在0°C搅拌1.75小时然后浓缩。剩余物在二氯甲烷(4X60ml)和氢氧化钠(25%)之间分配,用硫酸镁干燥合并的有机相,从粗产物浓缩得到去保护的胺。将偶氮二羧酸二乙酯(DEAD, 17.0ml)加到上述粗胺,三苯膦(12.1g)和THF(200ml)的混合物中。混合物在20-25°C搅拌16小时并浓缩。用快速色谱法(硅胶;乙酸乙酯/己烷(4/1))纯化,得到1-苄基-(3R)-甲基哌嗪-2-酮(XX)。
步骤3:1-苄基-(3R)-甲基哌嗪(XXI)
将1-苄基-(3R) -甲基哌嗪-2-酮(XX,4.36g),氢化铝锂(LAH,2.33g)和THF(125ml)的混合物加热回流16小时。冷却至20-25°C后,用水(2.3ml),氢氧化钠(10%,3.5ml)和水(5.7ml)缓慢淬灭混合物。剩余物用乙醚(100ml)稀释并搅拌1小时。连续用乙醚,二氯甲烷和乙醚洗涤滤出的固体。用碳酸钾干燥合并的滤液,过滤及浓缩,得到1-苄基-(3R) -甲基哌嗪(XXI)。对粗产物进行充分纯化。
步骤4:4-苄基-(2R)-甲基-1-哌嗪羧酸叔丁酯(XXII)
用10分钟将二碳酸二叔丁酯(4.60g)和二氯甲烷(16ml)的混合物滴加到1-苄基-(3R) -甲基哌嗪(XXI,3.56g)和二氯甲烷(55ml)的混合物中。在20-25°C搅拌16小时,剩余物在二氯甲烷(3X40ml)和碳酸氢钠之间分配。用硫酸镁干燥合并的有机相,过滤及浓缩。用快速色谱法(硅胶;己烷/乙酸乙酯(3/1))纯化得到4-苄基-(2R) -甲基-1-哌嗪羧酸叔丁酯(XXII)。
步骤5:(R)-1-N-Boc-2-甲基哌嗪(XXIII)
在Parr烧瓶中将4-苄基-(2R)-甲基-1-哌嗪羧酸叔丁酯(XXII,5.40g),乙醇(200ml)和Pearlman催化剂(1.36g)的混和物在20-25°C氢化(36psi)16小时。过滤混合物,所得固体连续用乙醇,二氯甲烷和甲醇洗涤。浓缩合并的滤液,用二氯甲烷稀释,过滤并浓缩,得到(R)-1-N-Boc-2-甲基哌嗪,放置固化。m.p.33-36℃[1]。

参考文献
[1]厄普乔恩公司. 用于治疗焦虑和睡眠紊乱的咪唑并[1,5-a]喹啉:CN94194222.8[P]. 1996-11-13.