>网站主页 >> (E)-1-乙氧乙烯基-2-硼酸频那醇酯 >> 新闻信息汇总

(E)-1-乙氧乙烯基-2-硼酸频那醇酯新闻专题

(E)-1-乙氧乙烯基-2-硼酸频那醇酯的合成和环境毒性
(E)-1-乙氧乙烯基-2-硼酸频那醇酯的合成和环境毒性
目前,(E)-1-乙氧乙烯基-2-硼酸频那醇酯可用作调配紫丁香型香精的主剂。由于其耐碱性强,可被用作皂用香精。(E)-1-乙氧乙烯基-2-硼酸频那醇酯具有香橼和熏衣草香气,常被用作配制香精的原料。此外,(E)-1-乙氧乙烯基-2-硼酸频那醇酯还可应用于医药、农药、仪表和电讯工业等领域中。同时,其也是玻璃器皿上色彩的优良溶剂。
2022/12/14 14:08:32 阅读量:471
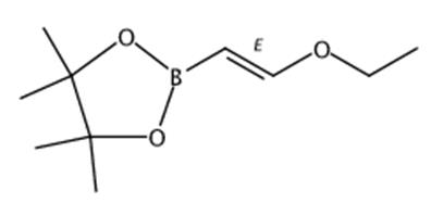
(E)-1-乙氧乙烯基-2-硼酸频那醇酯的制备方法报道
(E)-1-乙氧乙烯基-2-硼酸频那醇酯的制备方法报道
(E)-1-乙氧乙烯基-2-硼酸频那醇酯是一种有机中间体,可由乙氧基乙炔和4,4,5,5-四甲基-1,3,2-二氧杂硼杂环戊烷为原料通过一步催化反应制备得到,催化剂可选自二(环戊二烯基)氯化锆(IV)氢化物。
2021/5/31 11:31:24 阅读量:271