4,7-PHENANTHROLINE(230-07-9) IR1
Molecular FormulaC12H8N2
Molecular Weight180.21
InChIInChI=1S/C12H8N2/c1-3-9-10-4-2-8-14-12(10)6-5-11(9)13-7-1/h1-8H
InChIKey DATYUTWESAKQQM-UHFFFAOYSA-N
SmilesC1C2C(=CC=C3C=2C=CC=N3)N=CC=1
-

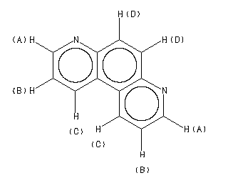
Parameter ppm Hz
D(A) 8.98
D(B) 7.55
D(C) 8.80
J(A,B) 4.4
J(A,C) 1.6
J(B,C) 8.4
D(D) 8.22
MARTIN,R.H. ET AL. TETRAHEDRON SUPPL. 8, 181 (1966)
Spectral Code: 1H NMR : parameter in CDCl3
-

Spectral Code: IR : nujol mull