| Identification | Back Directory | [Name]
Nicotinamide riboside chloride | [CAS]
23111-00-4 | [Synonyms]
NRC NR-CL Nicotinamide Riboside.Cl Cas23111-00-4 NR-CL, nacl Nicotimide riboside chloride Nicotinamide ribose chloride icotinamide riboside chloride 1-ribosylnicotinamide chloride Nicotinamide riboside chloride b-Nicotinamide riboside chloride β-nicotinamide riboside chloride Nicotinamide Riboside Chloride,99% NRC /Nicotinamide Riboside Chloride Nicotinamide Riboside Chloride(NRC) Nicotinamide riboside chloride NR-CL Nicotinamide riboside chloride USP/EP/BP API Nicotinamide riboside chloride Powder 99% purity Nicotinamide riboside chloride nicotinamide riboside chloride powder(NRC) High Quality Nicotinamide riboside chloride Nicotinamide Riboside Chloride NR-CL Powder Nicotinamide B-D Riboside Chloride(WX900111) Nicotinamide riboside chloride CAS 23111 00 4 3-Carbamoyl-1-(β-D-ribofuranosyl)pyridiniumchloride 3-Carbamoyl-1-(β-D-ribofuranosyl)pyridinium chloride 3-Carbamoyl-1-beta-D-ribofuranosylpyridinium chloride Pyridinium, 3-(aminocarbonyl)-1-β-D-ribofuranosyl-, chloride (1:1) Pyridinium,3-?(aminocarbonyl)?-?1-?β-?D-?ribofuranosyl-?,chloride(1:1) 3-carbamoyl-1-((2R,3R,4S,5R)-3,4-dihydroxy-5-(hydroxymethyl)tetrahydrofuran-2-yl)pyridin-1-ium chloride 3-carbamoyChemicalbookl-1-((2R,3R,4S,5R)-3,4-dihydroxy-5-(hydroxymethyl)tetrahydrofuran-2-yl)pyridin-1-iumchloride | [EINECS(EC#)]
200-184-4 | [Molecular Formula]
C11H15N2O5.Cl | [MDL Number]
MFCD27952781 | [MOL File]
23111-00-4.mol | [Molecular Weight]
290.7 |
| Chemical Properties | Back Directory | [storage temp. ]
Inert atmosphere,2-8°C | [solubility ]
Soluble to 100 mM in DMSO and to 100 mM in water | [form ]
solid | [color ]
White | [biological source]
milk | [Water Solubility ]
10mg/mL, clear, colorless | [Stability:]
Hygroscopic | [Cosmetics Ingredients Functions]
ANTIOXIDANT SKIN PROTECTING | [InChI]
InChI=1/C11H14N2O5.ClH/c12-10(17)6-2-1-3-13(4-6)11-9(16)8(15)7(5-14)18-11;/h1-4,7-9,11,14-16H,5H2,(H-,12,17);1H/t7-,8-,9-,11-;/s3 | [InChIKey]
YABIFCKURFRPPO-TUHHAUDNNA-N | [SMILES]
O[C@@H]1[C@@H]([C@@H](CO)O[C@H]1[N+]1=CC=CC(C(=O)N)=C1)O.[Cl-] |&1:1,2,3,7,r| |
| Hazard Information | Back Directory | [Description]
Nicotinamide Riboside Chloride is the chloride salt form of nicotinamide riboside(NR).NR is a new form pyridine-nucleoside of vitamin B3 that functions as a precursor to nicotinamide adenine dinucleotide(NAD) or NAD+ . Nicotinamide riboside chloride is a crystal form of Nicotinamide riboside (NR) chloride. Nicotinamide riboside chloride increases NAD[+] levels and activates SIRT1 and SIRT3, culminating in enhanced oxidative metabolism and protection against high fat diet-induced metabolic abnormalities. Nicotinamide riboside chloride is used in dietary supplements. | [Chemical Properties]
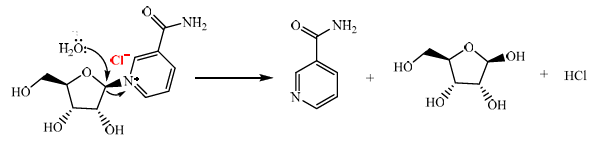
Nicotinamide riboside chloride (NR-CL) is structurally a quaternary ammonium salt containing a sensitive N-glycosidic bond that spontaneously cleaves in aqueous solution, yielding nicotinamide and d-ribose degradation products (Figure 1). NR-CL exhibits three crystalline forms: Type A, Type B, and Type C. Forms A and B represent true polymorphs of the anhydrous form, whereas form C constitutes a pseudo-polymorphic form as a methanesulfonate solvate. The B form exhibits a higher crystal density (1.591 Mg/m³) and a higher melting/decomposition temperature (123°C) compared to the A form (1.512 Mg/m³, 119°C), making it the most stable crystalline form. The crystal structure of Form B(Figure 2) is orthorhombic P212121 space group, with a = 7.0008(11) Å, b = 9.6465(15) Å, c = 17.971(3) Å, V = 1213.7(3) ų, and Z = 4.

 | [History]
Nicotinamide riboside (NR) was first described in 1944 as a growth factor, termed Factor V, for Haemophilus influenza, a bacterium that lives in and depends on blood. Factor V, purified from blood, was shown to exist in three forms: NAD+, NMN and NR. NR was the compound that led to the most rapid growth of this bacterium.Notably, H. influenza cannot grow on nicotinic acid, nicotinamide, tryptophan or aspartic acid, which were the previously known precursors of NAD+. In 2000, yeast Sir2 was shown to be an NAD+-dependent protein lysine deacetylase, which led several research groups to probe yeast NAD+ metabolism for genes and enzymes that might regulate lifespan. Biosynthesis of NAD+ in yeast was thought to flow exclusively through NAMN (nicotinic acid mononucleotide). When NAD+ synthase (glutamine-hydrolysing) was deleted from yeast cells, NR permitted yeast cells to grow. Thus, these Dartmouth College investigators proceeded to clone yeast and human nicotinamide riboside kinases and demonstrate the conversion of NR to NMN by nicotinamide riboside kinases in vitro and in vivo. They also demonstrated that NR is a natural product found in cow’s milk. | [Uses]
Nicotinamide riboside is involved in nicotinate and nicotinamide metabolism. Nicotinamide riboside was originally identified as a nutrient in milk and later discovered to be a NAD(+) precursor. Nicotinamide riboside (NR) is a naturally occurring vitamin B-3 present in the human diet that acts as an NAD+ precursor and is suggested to improve mitochondrial function and insulin sensitivity. NR acts via activation of the NAD+-dependent sirtuin enzyme family, thereby regulating oxidative metabolism. In vitro experiments of NR supplementation have shown its successful NAD+-restoring capability and subsequent increased oxidative gene expression in skeletal muscle cells. Results from in vivo mouse models have shown improvements in insulin sensitivity and oxidative energy metabolism, including enhanced metabolic flexibility, increased aerobic exercise capacity, and indications of improved mitochondrial biogenesis. | [benefits]
Nicotinamide riboside chloride boosts levels of NAD+, which is linked to potential health benefits regarding aging, brain health, heart disease risk and more. People use nicotinamide riboside for anti-aging effects, high cholesterol, high blood pressure, Alzheimer disease, obesity, and many other purposes. | [Biological Functions]
Nicotinamide riboside (NR) is a newly discovered form of vitamin B3 that is found naturally in trace amounts in milk. No one really thought much about NR until scientists discovered that our bodies can convert NR into something called nicotinamide adenine dinucleotide (NAD+). And NAD+—at least for healthy-aging researchers—is kind of a big deal. NAD+ is a coenzyme found in all living cells, and it plays a vital role in energy metabolism and maintaining proper cell functioning. Levels of NAD+ also happen to decline significantly as we get older, and these declining levels apparently drive the aging process. | [Biological Activity]
Nicotinamide Riboside is an NAD+ precursor. It is a substrate for nicotinamide riboside kinases (NRK1/2). Nicotinamide Riboside shows neuroprotective effects in a mouse model of type 2 diabetes and improves mitochondrial function in muscle stem cells in aged mice. The compound also corrects non-alchoholic fatty liver disease phenotype induced by NAD+ deficiency or high-fat diet in mice. Orally bioavailable. | [Side effects]
Side effects of Nicotinamide riboside chloride are usually mild and might include nausea, fatigue, headaches, diarrhea, stomach upset and indigestion. | [Synthesis]
Nicotinamide riboside chloride is obtained by processing the crude product. Steps: The methanolic solution containing the product is cooled. A cooled NaOCH3/methanol solution is added. After stirring, HCl is added slowly to adjust pH. The solvent is remov | [in vitro]
Nicotinamide Riboside supplementation increases NAD+ content and sirtuin activity in cultured mammalian cells. | [in vivo]
Nicotinamide Riboside, a precursor to nicotinamide adenine
dinucleotide(NAD), restores tissue NAD+ depletion induced by acute
kidney injury (AKI) to that of the sham group, increases autophagy and
sirtuin1 (Sirt1). | [storage]
Store at -20°C, protect from light |
|
|